Form 635_0110A Foreign Profit Corporation Registration Statement - Iowa

Form 635_0110A Foreign Profit Corporation Registration Statement - Iowa

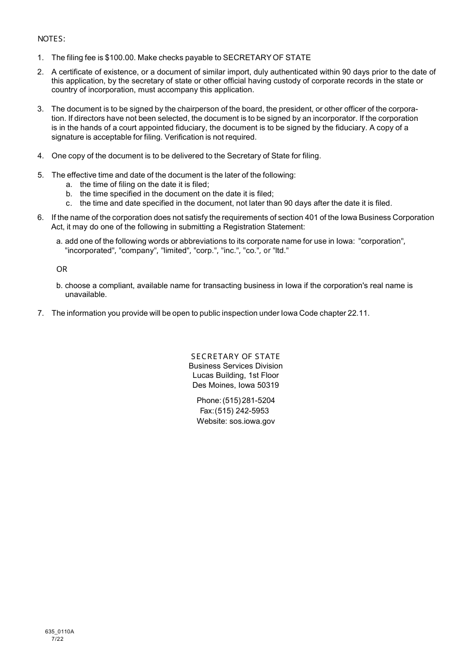
What Is Form 635_0110A?

This is a legal form that was released by the Iowa Secretary of State - a government authority operating within Iowa. As of today, no separate filing guidelines for the form are provided by the issuing department.

FAQ

Q: What is Form 635_0110A?
A: Form 635_0110A is the Foreign Profit Corporation Registration Statement for the state of Iowa.

Q: Who needs to file Form 635_0110A?
A: Foreign profit corporations wishing to do business in Iowa need to file Form 635_0110A.

Q: What information is required on Form 635_0110A?
A: Form 635_0110A requires information such as the corporation's name, jurisdiction of formation, registered agent information, and business activities in Iowa.

Q: What happens after Form 635_0110A is filed?
A: After Form 635_0110A is filed, the foreign profit corporation will be registered with the state of Iowa and authorized to do business in the state.

Q: Are there any ongoing requirements for foreign profit corporations in Iowa?
A: Yes, foreign profit corporations are required to file an annual report and maintain a registered agent in Iowa.

ADVERTISEMENT

Form Details:

  • Released on July 1, 2022;
  • The latest edition provided by the Iowa Secretary of State;
  • Easy to use and ready to print;
  • Quick to customize;
  • Compatible with most PDF-viewing applications;
  • Fill out the form in our online filing application.

Download a fillable version of Form 635_0110A by clicking the link below or browse more documents and templates provided by the Iowa Secretary of State.

Download Form 635_0110A Foreign Profit Corporation Registration Statement - Iowa

4.7 of 5 (30 votes)
  • Form 635_0110A Foreign Profit Corporation Registration Statement - Iowa

    1

  • Form 635_0110A Foreign Profit Corporation Registration Statement - Iowa, Page 2

    2

  • Form 635_0110A Foreign Profit Corporation Registration Statement - Iowa, Page 3

    3

  • Form 635_0110A Foreign Profit Corporation Registration Statement - Iowa, Page 1
  • Form 635_0110A Foreign Profit Corporation Registration Statement - Iowa, Page 2
  • Form 635_0110A Foreign Profit Corporation Registration Statement - Iowa, Page 3
Prev 1 2 3 Next
ADVERTISEMENT

Related Documents