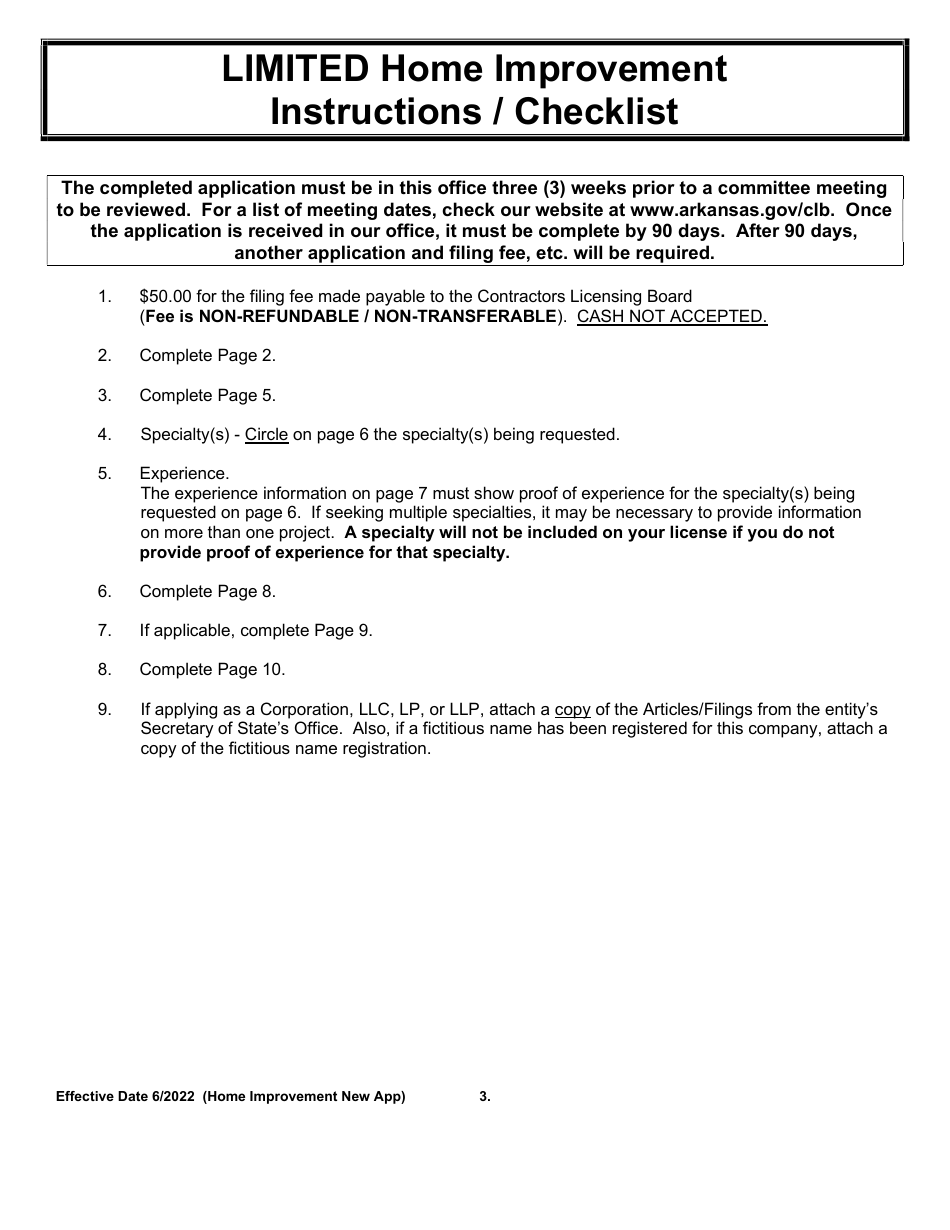
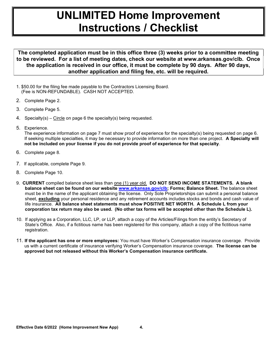
Home Improvement Specialty New Application - Arkansas

Notification Icon This version of the form is not currently in use and is provided for reference only. Download this version of the document for the current year.

Home Improvement Specialty New Application - Arkansas

Home Improvement Specialty New Application is a legal document that was released by the Arkansas Contractors Licensing Board - a government authority operating within Arkansas.

FAQ

Q: What is a Home Improvement Specialty New Application?
A: A Home Improvement Specialty New Application is a type of license required for individuals or businesses that will be performing specialty work in the field of home improvement in Arkansas.

Q: What types of work are covered under a Home Improvement Specialty New Application?
A: The Home Improvement Specialty New Application covers various specialty work such as painting, plumbing, electrical, HVAC, roofing, flooring, and other similar trades.

Q: Who needs to apply for a Home Improvement Specialty New Application?
A: Individuals or businesses engaging in specialty home improvement work in Arkansas need to apply for this license.

Q: How can I apply for a Home Improvement Specialty New Application?
A: You can apply for a Home Improvement Specialty New Application by contacting the Arkansas Contractors Licensing Board and submitting the necessary application and fees.

Q: Are there any requirements to obtain a Home Improvement Specialty New Application?
A: Yes, there are requirements such as providing proof of liability insurance, demonstrating adequate experience in the specific trade, and passing an examination.

Q: Is the Home Improvement Specialty New Application specific to Arkansas?
A: Yes, the Home Improvement Specialty New Application is specific to Arkansas and is required for performing specialty home improvement work within the state.

Q: How long is a Home Improvement Specialty New Application valid for?
A: The Home Improvement Specialty New Application is valid for a period of one year. It needs to be renewed annually.

Q: What are the consequences of performing specialty home improvement work without a Home Improvement Specialty New Application?
A: Performing specialty home improvement work without a Home Improvement Specialty New Application can result in penalties, fines, or legal consequences.

Q: Can an out-of-state contractor apply for a Home Improvement Specialty New Application in Arkansas?
A: Yes, out-of-state contractors can apply for a Home Improvement Specialty New Application in Arkansas if they meet the relevant requirements.

Q: Is a Home Improvement Specialty New Application transferable to other states?
A: No, a Home Improvement Specialty New Application is not transferable to other states. Each state has its own licensing requirements.

ADVERTISEMENT

Form Details:

  • Released on June 1, 2022;
  • The latest edition currently provided by the Arkansas Contractors Licensing Board;
  • Ready to use and print;
  • Easy to customize;
  • Compatible with most PDF-viewing applications;
  • Fill out the form in our online filing application.

Download a printable version of the form by clicking the link below or browse more documents and templates provided by the Arkansas Contractors Licensing Board.

Download Home Improvement Specialty New Application - Arkansas

4.6 of 5 (14 votes)
  • Home Improvement Specialty New Application - Arkansas

    1

  • Home Improvement Specialty New Application - Arkansas, Page 2

    2

  • Home Improvement Specialty New Application - Arkansas, Page 3

    3

  • Home Improvement Specialty New Application - Arkansas, Page 4

    4

  • Home Improvement Specialty New Application - Arkansas, Page 5

    5

  • Home Improvement Specialty New Application - Arkansas, Page 6

    6

  • Home Improvement Specialty New Application - Arkansas, Page 7

    7

  • Home Improvement Specialty New Application - Arkansas, Page 8

    8

  • Home Improvement Specialty New Application - Arkansas, Page 9

    9

  • Home Improvement Specialty New Application - Arkansas, Page 10

    10

  • Home Improvement Specialty New Application - Arkansas, Page 11

    11

  • Home Improvement Specialty New Application - Arkansas, Page 12

    12

  • Home Improvement Specialty New Application - Arkansas, Page 13

    13

  • Home Improvement Specialty New Application - Arkansas, Page 1
  • Home Improvement Specialty New Application - Arkansas, Page 2
  • Home Improvement Specialty New Application - Arkansas, Page 3
  • Home Improvement Specialty New Application - Arkansas, Page 4
  • Home Improvement Specialty New Application - Arkansas, Page 5
  • Home Improvement Specialty New Application - Arkansas, Page 6
  • Home Improvement Specialty New Application - Arkansas, Page 7
  • Home Improvement Specialty New Application - Arkansas, Page 8
  • Home Improvement Specialty New Application - Arkansas, Page 9
  • Home Improvement Specialty New Application - Arkansas, Page 10
  • Home Improvement Specialty New Application - Arkansas, Page 11
  • Home Improvement Specialty New Application - Arkansas, Page 12
  • Home Improvement Specialty New Application - Arkansas, Page 13
Prev 1 2 3 4 5 ... 13 Next
ADVERTISEMENT

Related Documents