Form XR221 Temporary Extreme Risk Protection Order - Without Notice - Respondent Under 18 Years - Washington

Notification Icon This version of the form is not currently in use and is provided for reference only. Download this version of Form XR221 for the current year.

Form XR221 Temporary Extreme Risk Protection Order - Without Notice - Respondent Under 18 Years - Washington

What Is Form XR221?

This is a legal form that was released by the Washington State Courts - a government authority operating within Washington. As of today, no separate filing guidelines for the form are provided by the issuing department.

FAQ

Q: What is Form XR221?
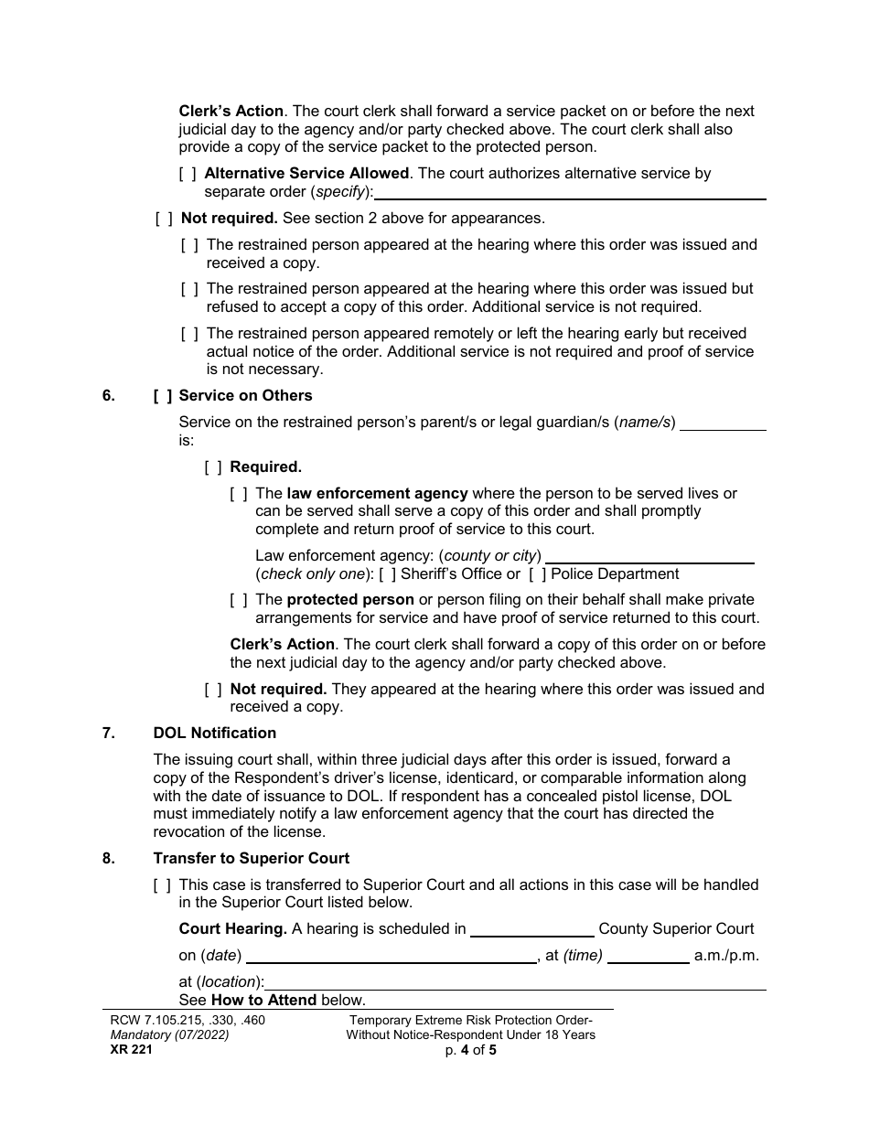
A: Form XR221 is a temporary Extreme Risk Protection Order (ERPO) that can be issued without notice to the respondent, who is under 18 years old, in the state of Washington.

Q: What is an Extreme Risk Protection Order?
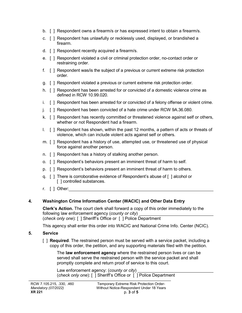
A: An Extreme Risk Protection Order is a court order that temporarily restricts a person's access to firearms if they pose a significant risk of harm to themselves or others.

Q: Under what circumstances can Form XR221 be issued without notice?
A: Form XR221 can be issued without notice if the court finds that there is an immediate and present danger of abuse of a firearm by the respondent, and that notice to the respondent would increase the risk of harm.

Q: Who can file Form XR221?
A: Form XR221 can be filed by a family or household member, a law enforcement officer, or a school employee on behalf of someone under 18 years old.

Q: What happens after Form XR221 is filed?
A: After Form XR221 is filed, the court will review the petition and may issue a temporary ERPO if it finds that there is an immediate and present danger of abuse of a firearm by the respondent.

Q: What are the restrictions imposed by a temporary ERPO?
A: A temporary ERPO can prohibit the respondent from possessing, acquiring, or accessing firearms and ammunition for a specified period of time.

Q: How long does a temporary ERPO last?
A: A temporary ERPO can last for up to 14 days, but it can be extended if a hearing is held and the court finds that there is good cause to do so.

Q: What happens if the respondent violates a temporary ERPO?
A: If the respondent violates a temporary ERPO, they can be subject to criminal penalties, including imprisonment and fines.

Q: Can a respondent challenge a temporary ERPO?
A: Yes, a respondent can request a hearing to challenge a temporary ERPO and present evidence to support their case.

Q: Is Form XR221 specific to Washington state?
A: Yes, Form XR221 is specific to the state of Washington and its laws regarding Extreme Risk Protection Orders for respondents under 18 years old.

ADVERTISEMENT

Form Details:

  • Released on July 1, 2022;
  • The latest edition provided by the Washington State Courts;
  • Easy to use and ready to print;
  • Quick to customize;
  • Compatible with most PDF-viewing applications;
  • Fill out the form in our online filing application.

Download a printable version of Form XR221 by clicking the link below or browse more documents and templates provided by the Washington State Courts.

Download Form XR221 Temporary Extreme Risk Protection Order - Without Notice - Respondent Under 18 Years - Washington

4.7 of 5 (14 votes)
  • Form XR221 Temporary Extreme Risk Protection Order - Without Notice - Respondent Under 18 Years - Washington

    1

  • Form XR221 Temporary Extreme Risk Protection Order - Without Notice - Respondent Under 18 Years - Washington, Page 2

    2

  • Form XR221 Temporary Extreme Risk Protection Order - Without Notice - Respondent Under 18 Years - Washington, Page 3

    3

  • Form XR221 Temporary Extreme Risk Protection Order - Without Notice - Respondent Under 18 Years - Washington, Page 4

    4

  • Form XR221 Temporary Extreme Risk Protection Order - Without Notice - Respondent Under 18 Years - Washington, Page 5

    5

  • Form XR221 Temporary Extreme Risk Protection Order - Without Notice - Respondent Under 18 Years - Washington, Page 6

    6

  • Form XR221 Temporary Extreme Risk Protection Order - Without Notice - Respondent Under 18 Years - Washington, Page 1
  • Form XR221 Temporary Extreme Risk Protection Order - Without Notice - Respondent Under 18 Years - Washington, Page 2
  • Form XR221 Temporary Extreme Risk Protection Order - Without Notice - Respondent Under 18 Years - Washington, Page 3
  • Form XR221 Temporary Extreme Risk Protection Order - Without Notice - Respondent Under 18 Years - Washington, Page 4
  • Form XR221 Temporary Extreme Risk Protection Order - Without Notice - Respondent Under 18 Years - Washington, Page 5
  • Form XR221 Temporary Extreme Risk Protection Order - Without Notice - Respondent Under 18 Years - Washington, Page 6
Prev 1 2 3 4 5 6 Next
ADVERTISEMENT