Commercial Fundraiser Supplemental Amendment - Washington

Commercial Fundraiser Supplemental Amendment - Washington

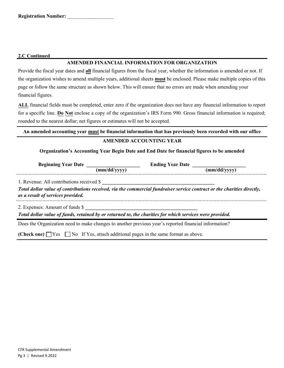
Commercial Fundraiser Supplemental Amendment is a legal document that was released by the Washington Secretary of State - a government authority operating within Washington.

FAQ

Q: What is a Commercial Fundraiser Supplemental Amendment?
A: A Commercial Fundraiser Supplemental Amendment is a document that provides additional information about a commercial fundraiser's activities in the state of Washington.

Q: Who needs to file a Commercial Fundraiser Supplemental Amendment in Washington?
A: Commercial fundraisers who are already registered with the Washington Secretary of State's office need to file a Supplemental Amendment to update their information.

Q: What kind of information is included in a Commercial Fundraiser Supplemental Amendment?
A: The Supplemental Amendment includes details about the commercial fundraiser's activities, contracts, and financial information.

Q: How often do commercial fundraisers need to file a Supplemental Amendment?
A: Commercial fundraisers in Washington are required to file a Supplemental Amendment within 10 days of any material change in their activities or contracts.

Q: Is there a fee for filing a Commercial Fundraiser Supplemental Amendment in Washington?
A: Yes, there is a fee associated with filing a Commercial Fundraiser Supplemental Amendment in Washington. The fee amount may vary.

Q: What are the consequences of not filing a Commercial Fundraiser Supplemental Amendment in Washington?
A: Failure to file a Supplemental Amendment can result in penalties and legal consequences, including fines and potential suspension of the commercial fundraiser's registration.

Q: Can a Commercial Fundraiser Supplemental Amendment be amended or withdrawn?
A: Yes, a Supplemental Amendment can be amended or withdrawn by filing the necessary forms and paying any applicable fees.

ADVERTISEMENT

Form Details:

  • Released on September 1, 2022;
  • The latest edition currently provided by the Washington Secretary of State;
  • Ready to use and print;
  • Easy to customize;
  • Compatible with most PDF-viewing applications;
  • Fill out the form in our online filing application.

Download a fillable version of the form by clicking the link below or browse more documents and templates provided by the Washington Secretary of State.

Download Commercial Fundraiser Supplemental Amendment - Washington

4.5 of 5 (26 votes)
  • Commercial Fundraiser Supplemental Amendment - Washington

    1

  • Commercial Fundraiser Supplemental Amendment - Washington, Page 2

    2

  • Commercial Fundraiser Supplemental Amendment - Washington, Page 3

    3

  • Commercial Fundraiser Supplemental Amendment - Washington, Page 1
  • Commercial Fundraiser Supplemental Amendment - Washington, Page 2
  • Commercial Fundraiser Supplemental Amendment - Washington, Page 3
Prev 1 2 3 Next
ADVERTISEMENT