Instructions for Form 734-2722 Summary Report of Contractors Paid - Oregon

Instructions for Form 734-2722 Summary Report of Contractors Paid - Oregon

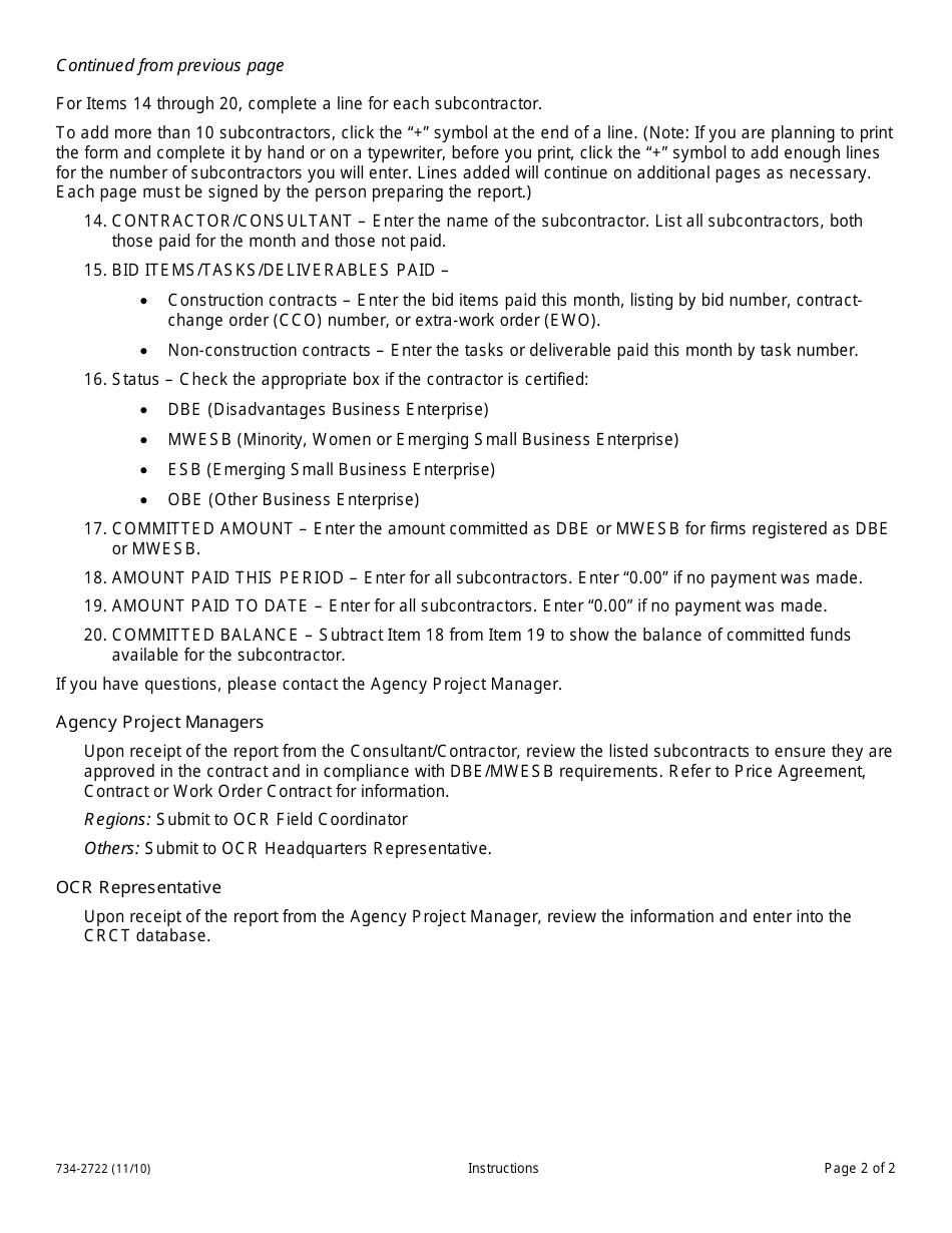
This document contains official instructions for Form 734-2722 , Summary Report of Contractors Paid - a form released and collected by the Oregon Department of Transportation. An up-to-date fillable Form 734-2722 is available for download through this link.

FAQ

Q: What is Form 734-2722?
A: Form 734-2722 is the Summary Report of Contractors Paid for the state of Oregon.

Q: Who is required to file Form 734-2722?
A: Contractors who have been paid by a government agency in Oregon are required to file Form 734-2722.

Q: What information needs to be included in Form 734-2722?
A: Form 734-2722 requires the contractor's name, address, Social Security number or taxpayer identification number, and the amount paid.

Q: When is Form 734-2722 due?
A: Form 734-2722 is due on or before January 31st of the following year.

Q: Is there a penalty for late filing of Form 734-2722?
A: Yes, there is a penalty for late filing of Form 734-2722. The penalty amount varies depending on the timing of the late filing.

ADVERTISEMENT

Instruction Details:

  • This 2-page document is available for download in PDF;
  • Actual and applicable for the current year;
  • Complete, printable, and free.

Download your copy of the instructions by clicking the link below or browse hundreds of other forms in our library of forms released by the Oregon Department of Transportation.

Download Instructions for Form 734-2722 Summary Report of Contractors Paid - Oregon

4.4 of 5 (18 votes)
  • Instructions for Form 734-2722 Summary Report of Contractors Paid - Oregon

    1

  • Instructions for Form 734-2722 Summary Report of Contractors Paid - Oregon, Page 2

    2

  • Instructions for Form 734-2722 Summary Report of Contractors Paid - Oregon, Page 1
  • Instructions for Form 734-2722 Summary Report of Contractors Paid - Oregon, Page 2
Prev 1 2 Next
ADVERTISEMENT

Related Documents