DD Form 2749 Technical Assistance for Public Participation (Tapp) Application

Notification Icon This version of the form is not currently in use and is provided for reference only. Download this version of DD Form 2749 for the current year.

DD Form 2749 Technical Assistance for Public Participation (Tapp) Application

What Is DD Form 2749?

This is a form that was released by the U.S. Department of Defense (DoD) on October 1, 2003. The form, often mistakenly referred to as the DA Form 2749 , is a military form used by and within the U.S. Army. As of today, no separate instructions for the form are provided by the DoD.

FAQ

Q: What is DD Form 2749?
A: DD Form 2749 is the Technical Assistance for Public Participation (Tapp) Application.

Q: What is the purpose of DD Form 2749?
A: The purpose of DD Form 2749 is to apply for technical assistance for public participation.

Q: Who can use DD Form 2749?
A: Anyone who needs technical assistance for public participation can use DD Form 2749.

Q: Is DD Form 2749 required for all public participation activities?
A: No, DD Form 2749 is not required for all public participation activities. It is only needed for those who seek technical assistance.

Q: What information is required on DD Form 2749?
A: DD Form 2749 requires information such as contact details, project description, and desired technical assistance.

Q: Are there any fees associated with DD Form 2749?
A: No, there are no fees associated with DD Form 2749.

Q: What happens after I submit DD Form 2749?
A: After submitting DD Form 2749, your request for technical assistance will be reviewed and processed.

Q: How long does it take to receive a response after submitting DD Form 2749?
A: The response time after submitting DD Form 2749 may vary, but you can expect to receive a response within a reasonable timeframe.

ADVERTISEMENT

Form Details:

  • A 2-page document available for download in PDF;
  • The latest version available from the Executive Services Directorate;
  • Editable, printable, and free to use;
  • Fill out the form in our online filing application.

Download an up-to-date fillable DD Form 2749 down below in PDF format or browse hundreds of other DoD Forms compiled in our online library.

Download DD Form 2749 Technical Assistance for Public Participation (Tapp) Application

4.8 of 5 (8 votes)
  • DD Form 2749 Technical Assistance for Public Participation (Tapp) Application

    1

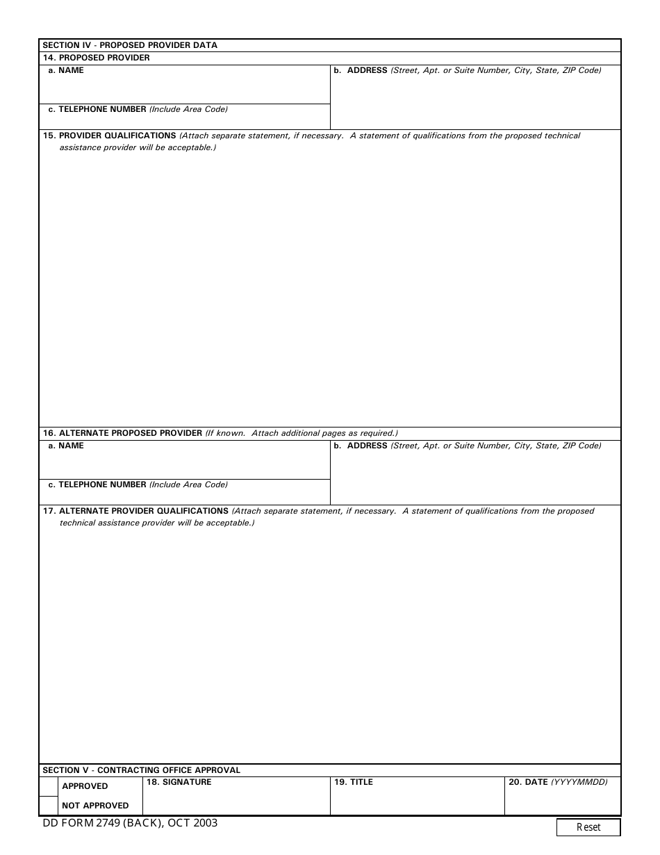
  • DD Form 2749 Technical Assistance for Public Participation (Tapp) Application, Page 2

    2

  • DD Form 2749 Technical Assistance for Public Participation (Tapp) Application, Page 1
  • DD Form 2749 Technical Assistance for Public Participation (Tapp) Application, Page 2
Prev 1 2 Next
ADVERTISEMENT