Site & Development Plan Amendment Submittal Checklist - City of Greenacres, Florida

Site & Development Plan Amendment Submittal Checklist - City of Greenacres, Florida

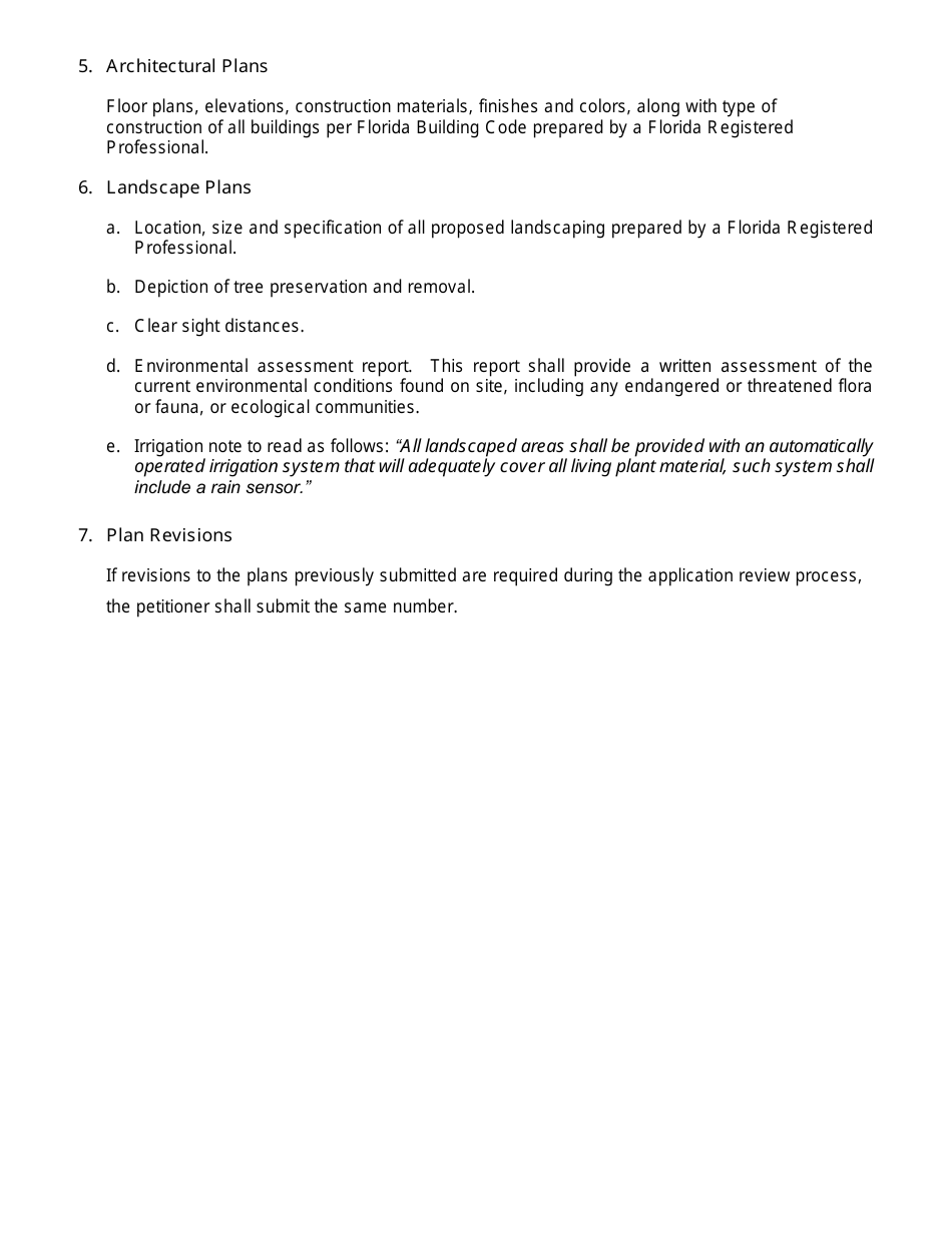
Site & Development Plan Amendment Submittal Checklist is a legal document that was released by the Development and Neighborhood Services Department - City of Greenacres, Florida - a government authority operating within Florida. The form may be used strictly within City of Greenacres.

FAQ

Q: What is the Site & Development Plan Amendment Submittal Checklist?
A: The Site & Development Plan Amendment Submittal Checklist is a document provided by the City of Greenacres, Florida.

Q: What is the purpose of the checklist?
A: The checklist is used as a guide for applicants to ensure they have included all necessary information when submitting a site and development plan amendment.

Q: Who is the intended audience for this checklist?
A: The intended audience for this checklist includes individuals or businesses planning to submit a site and development plan amendment to the City of Greenacres, Florida.

Q: What information does the checklist cover?
A: The checklist covers various aspects of a site and development plan amendment, including required documents, application fees, and contact information.

Q: Can the checklist be modified?
A: The checklist may be subject to modification by the City of Greenacres, Florida, so it is important to refer to the most current version available.

Q: What should I do if I have questions about the checklist?
A: If you have questions about the checklist, it is recommended to contact the relevant municipal department for clarification.

Q: Is the checklist a guarantee of approval for my amendment?
A: No, the checklist is a tool to help ensure you have provided all necessary information, but final approval is subject to review and decision by the City of Greenacres, Florida.

ADVERTISEMENT

Form Details:

  • The latest edition currently provided by the Development and Neighborhood Services Department - City of Greenacres, Florida;
  • Ready to use and print;
  • Easy to customize;
  • Compatible with most PDF-viewing applications;
  • Fill out the form in our online filing application.

Download a fillable version of the form by clicking the link below or browse more documents and templates provided by the Development and Neighborhood Services Department - City of Greenacres, Florida.

Download Site & Development Plan Amendment Submittal Checklist - City of Greenacres, Florida

4.6 of 5 (7 votes)
  • Site & Development Plan Amendment Submittal Checklist - City of Greenacres, Florida

    1

  • Site & Development Plan Amendment Submittal Checklist - City of Greenacres, Florida, Page 2

    2

  • Site & Development Plan Amendment Submittal Checklist - City of Greenacres, Florida, Page 3

    3

  • Site & Development Plan Amendment Submittal Checklist - City of Greenacres, Florida, Page 4

    4

  • Site & Development Plan Amendment Submittal Checklist - City of Greenacres, Florida, Page 5

    5

  • Site & Development Plan Amendment Submittal Checklist - City of Greenacres, Florida, Page 6

    6

  • Site  Development Plan Amendment Submittal Checklist - City of Greenacres, Florida, Page 1
  • Site  Development Plan Amendment Submittal Checklist - City of Greenacres, Florida, Page 2
  • Site  Development Plan Amendment Submittal Checklist - City of Greenacres, Florida, Page 3
  • Site  Development Plan Amendment Submittal Checklist - City of Greenacres, Florida, Page 4
  • Site  Development Plan Amendment Submittal Checklist - City of Greenacres, Florida, Page 5
  • Site  Development Plan Amendment Submittal Checklist - City of Greenacres, Florida, Page 6
Prev 1 2 3 4 5 6 Next
ADVERTISEMENT