Regulated Medical Waste Facility Annual Report - New York

Notification Icon This version of the form is not currently in use and is provided for reference only. Download this version of the document for the current year.

Regulated Medical Waste Facility Annual Report - New York

Regulated Medical Waste Facility Annual Report is a legal document that was released by the New York State Department of Environmental Conservation - a government authority operating within New York.

FAQ

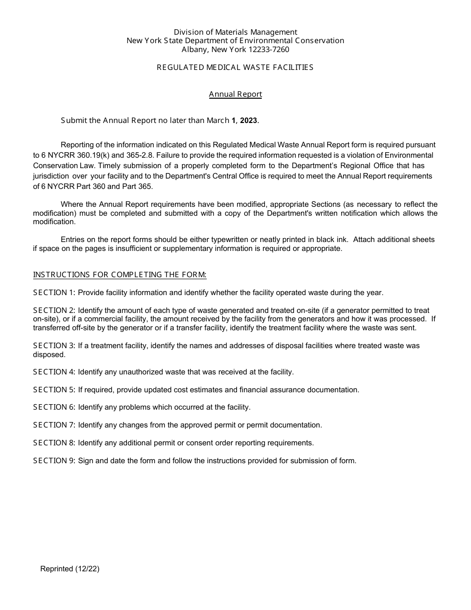
Q: What is a regulated medical waste facility?
A: A regulated medical waste facility is a facility that handles, processes, or disposes of medical waste in accordance with regulations.

Q: Who is required to submit an annual report for a regulated medical waste facility in New York?
A: All regulated medical waste facilities in New York are required to submit an annual report.

Q: What information does the annual report for a regulated medical waste facility in New York include?
A: The annual report for a regulated medical waste facility in New York includes information about the facility's operations, waste generation, treatment methods, and disposal practices.

Q: When is the deadline for submitting the annual report for a regulated medical waste facility in New York?
A: The deadline for submitting the annual report for a regulated medical waste facility in New York is typically March 1st of each year.

ADVERTISEMENT

Form Details:

  • Released on December 1, 2022;
  • The latest edition currently provided by the New York State Department of Environmental Conservation;
  • Ready to use and print;
  • Easy to customize;
  • Compatible with most PDF-viewing applications;
  • Fill out the form in our online filing application.

Download a fillable version of the form by clicking the link below or browse more documents and templates provided by the New York State Department of Environmental Conservation.

Download Regulated Medical Waste Facility Annual Report - New York

4.6 of 5 (9 votes)
  • Regulated Medical Waste Facility Annual Report - New York

    1

  • Regulated Medical Waste Facility Annual Report - New York, Page 2

    2

  • Regulated Medical Waste Facility Annual Report - New York, Page 3

    3

  • Regulated Medical Waste Facility Annual Report - New York, Page 4

    4

  • Regulated Medical Waste Facility Annual Report - New York, Page 5

    5

  • Regulated Medical Waste Facility Annual Report - New York, Page 6

    6

  • Regulated Medical Waste Facility Annual Report - New York, Page 7

    7

  • Regulated Medical Waste Facility Annual Report - New York, Page 8

    8

  • Regulated Medical Waste Facility Annual Report - New York, Page 9

    9

  • Regulated Medical Waste Facility Annual Report - New York, Page 10

    10

  • Regulated Medical Waste Facility Annual Report - New York, Page 11

    11

  • Regulated Medical Waste Facility Annual Report - New York, Page 1
  • Regulated Medical Waste Facility Annual Report - New York, Page 2
  • Regulated Medical Waste Facility Annual Report - New York, Page 3
  • Regulated Medical Waste Facility Annual Report - New York, Page 4
  • Regulated Medical Waste Facility Annual Report - New York, Page 5
  • Regulated Medical Waste Facility Annual Report - New York, Page 6
  • Regulated Medical Waste Facility Annual Report - New York, Page 7
  • Regulated Medical Waste Facility Annual Report - New York, Page 8
  • Regulated Medical Waste Facility Annual Report - New York, Page 9
  • Regulated Medical Waste Facility Annual Report - New York, Page 10
  • Regulated Medical Waste Facility Annual Report - New York, Page 11
Prev 1 2 3 4 5 ... 11 Next
ADVERTISEMENT