Articles of Revival for the Charter of a Maryland Corporatio - Maryland

Articles of Revival for the Charter of a Maryland Corporatio - Maryland

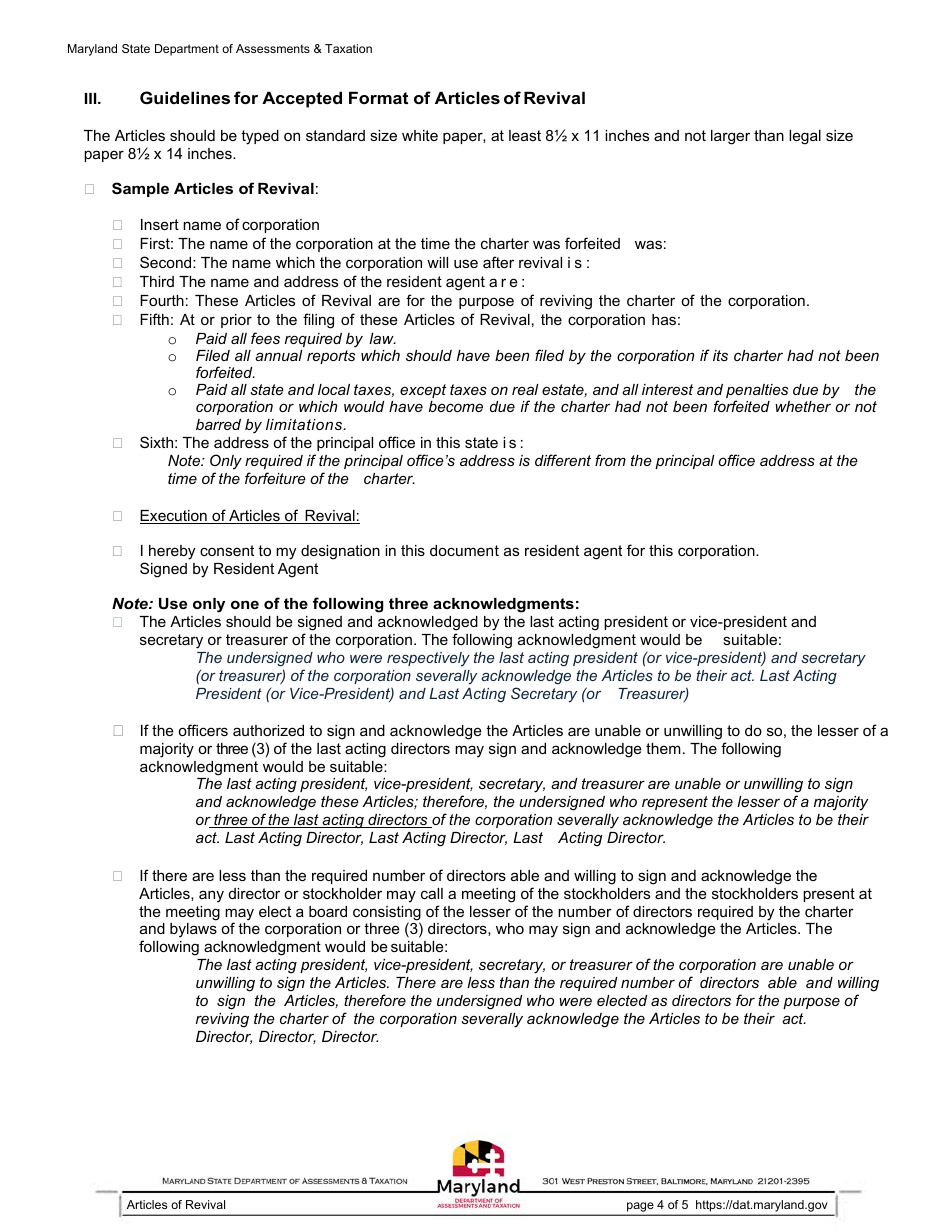
Articles of Revival for the Charter of a Maryland Corporatio is a legal document that was released by the Maryland Department of Assessments and Taxation - a government authority operating within Maryland.

FAQ

Q: What is the purpose of the Articles of Revival?
A: The purpose of the Articles of Revival is to reinstate a Maryland corporation that has been forfeited or dissolved.

Q: How can I revive a forfeited or dissolved Maryland corporation?
A: To revive a forfeited or dissolved Maryland corporation, you need to file Articles of Revival with the State Department of Assessments and Taxation.

Q: What information is required in the Articles of Revival?
A: The Articles of Revival require information such as the name and identification number of the corporation, the reason for dissolution, and the date of dissolution.

Q: Are there any fees for filing the Articles of Revival?
A: Yes, there is a filing fee associated with the Articles of Revival. The amount may vary, so it's advisable to check the current fee schedule.

Q: Can I revive a Maryland corporation that has been administratively dissolved?
A: Yes, you can revive a Maryland corporation that has been administratively dissolved by filing Articles of Revival and paying any outstanding fees or penalties.

Q: Is there a deadline for filing the Articles of Revival?
A: There is no specific deadline for filing the Articles of Revival, but it is recommended to take prompt action to avoid any further complications.

ADVERTISEMENT

Form Details:

  • The latest edition currently provided by the Maryland Department of Assessments and Taxation;
  • Ready to use and print;
  • Easy to customize;
  • Compatible with most PDF-viewing applications;
  • Fill out the form in our online filing application.

Download a fillable version of the form by clicking the link below or browse more documents and templates provided by the Maryland Department of Assessments and Taxation.

Download Articles of Revival for the Charter of a Maryland Corporatio - Maryland

4.4 of 5 (19 votes)
  • Articles of Revival for the Charter of a Maryland Corporatio - Maryland

    1

  • Articles of Revival for the Charter of a Maryland Corporatio - Maryland, Page 2

    2

  • Articles of Revival for the Charter of a Maryland Corporatio - Maryland, Page 3

    3

  • Articles of Revival for the Charter of a Maryland Corporatio - Maryland, Page 4

    4

  • Articles of Revival for the Charter of a Maryland Corporatio - Maryland, Page 5

    5

  • Articles of Revival for the Charter of a Maryland Corporatio - Maryland, Page 1
  • Articles of Revival for the Charter of a Maryland Corporatio - Maryland, Page 2
  • Articles of Revival for the Charter of a Maryland Corporatio - Maryland, Page 3
  • Articles of Revival for the Charter of a Maryland Corporatio - Maryland, Page 4
  • Articles of Revival for the Charter of a Maryland Corporatio - Maryland, Page 5
Prev 1 2 3 4 5 Next
ADVERTISEMENT