Form UD-8(3) Child Support Worksheet - New York

Notification Icon This version of the form is not currently in use and is provided for reference only. Download this version of Form UD-8(3) for the current year.

Form UD-8(3) Child Support Worksheet - New York

What Is Form UD-8(3)?

This is a legal form that was released by the New York Supreme Court - a government authority operating within New York. As of today, no separate filing guidelines for the form are provided by the issuing department.

FAQ

Q: What is Form UD-8(3)?
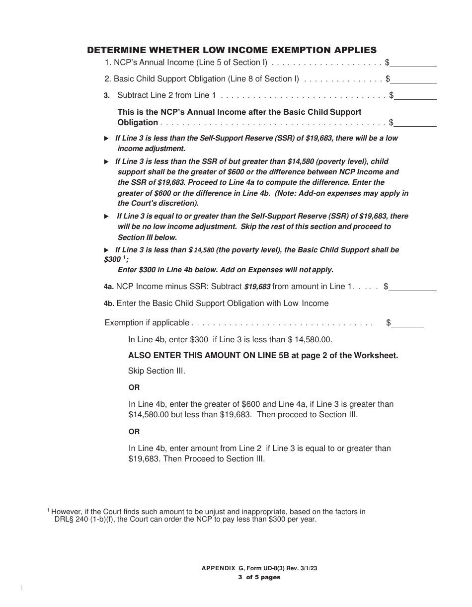
A: Form UD-8(3) is a Child Support Worksheet in New York.

Q: What is the purpose of Form UD-8(3)?
A: The purpose of Form UD-8(3) is to calculate child support in New York.

Q: Do both parents need to complete Form UD-8(3)?
A: Yes, both parents need to complete Form UD-8(3) when calculating child support.

Q: What information is required on Form UD-8(3)?
A: Form UD-8(3) requires information about each parent's income, expenses, and other relevant factors for child support calculation.

Q: Can Form UD-8(3) be modified?
A: No, Form UD-8(3) cannot be modified. It must be completed as provided by the court.

Q: What happens after Form UD-8(3) is completed?
A: Once Form UD-8(3) is completed, it is submitted to the court for review and consideration in determining child support.

Q: Are there any additional forms required for child support in New York?
A: Yes, there may be additional forms required depending on the specific circumstances of the case. It is best to consult with an attorney or the court for guidance.

ADVERTISEMENT

Form Details:

  • Released on March 1, 2023;
  • The latest edition provided by the New York Supreme Court;
  • Easy to use and ready to print;
  • Quick to customize;
  • Compatible with most PDF-viewing applications;
  • Fill out the form in our online filing application.

Download a printable version of Form UD-8(3) by clicking the link below or browse more documents and templates provided by the New York Supreme Court.

Download Form UD-8(3) Child Support Worksheet - New York

4.3 of 5 (27 votes)
  • Form UD-8(3) Child Support Worksheet - New York

    1

  • Form UD-8(3) Child Support Worksheet - New York, Page 2

    2

  • Form UD-8(3) Child Support Worksheet - New York, Page 3

    3

  • Form UD-8(3) Child Support Worksheet - New York, Page 4

    4

  • Form UD-8(3) Child Support Worksheet - New York, Page 5

    5

  • Form UD-8(3) Child Support Worksheet - New York, Page 6

    6

  • Form UD-8(3) Child Support Worksheet - New York, Page 7

    7

  • Form UD-8(3) Child Support Worksheet - New York, Page 8

    8

  • Form UD-8(3) Child Support Worksheet - New York, Page 9

    9

  • Form UD-8(3) Child Support Worksheet - New York, Page 1
  • Form UD-8(3) Child Support Worksheet - New York, Page 2
  • Form UD-8(3) Child Support Worksheet - New York, Page 3
  • Form UD-8(3) Child Support Worksheet - New York, Page 4
  • Form UD-8(3) Child Support Worksheet - New York, Page 5
  • Form UD-8(3) Child Support Worksheet - New York, Page 6
  • Form UD-8(3) Child Support Worksheet - New York, Page 7
  • Form UD-8(3) Child Support Worksheet - New York, Page 8
  • Form UD-8(3) Child Support Worksheet - New York, Page 9
Prev 1 2 3 4 5 ... 9 Next
ADVERTISEMENT

Related Documents