After School Registration Form and Waiver - Hubert H. Humphrey Recreation Center - City of Los Angeles, California

After School Registration Form and Waiver - Hubert H. Humphrey Recreation Center - City of Los Angeles, California

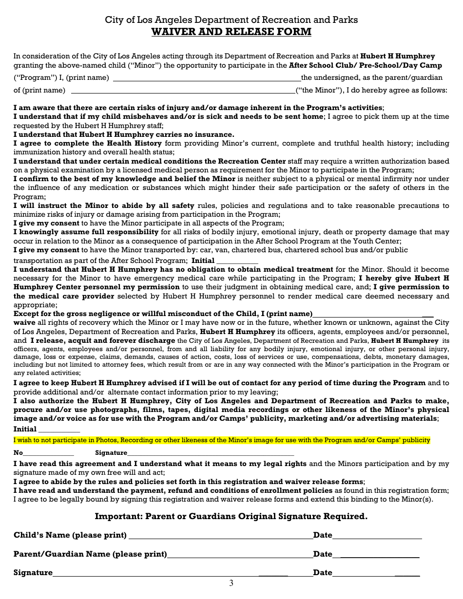
After School Registration Form and Waiver - Hubert H. Humphrey Recreation Center is a legal document that was released by the Department of Recreation and Parks - City of Los Angeles, California - a government authority operating within California. The form may be used strictly within City of Los Angeles.

FAQ

Q: What is the After School Registration Form and Waiver?
A: The After School Registration Form and Waiver is a form used for registering children for after-school programs at the Hubert H. Humphrey Recreation Center in Los Angeles.

Q: What is the purpose of the form?
A: The form is used to register children for after-school programs at the Hubert H. Humphrey Recreation Center.

Q: Who can use the form?
A: Parents or guardians of children who want to enroll them in after-school programs at the Hubert H. Humphrey Recreation Center can use the form.

Q: What information is required on the form?
A: The form requires information such as the child's name, age, contact information, emergency contact information, and any medical conditions or allergies.

Q: Is a waiver included in the form?
A: Yes, a waiver is included in the form. The waiver is a legal document that releases the City of Los Angeles from liability for any injuries or accidents that may occur during the after-school programs.

Q: Do parents/guardians need to sign the waiver?
A: Yes, parents or guardians need to sign the waiver to indicate their understanding and acceptance of the terms and conditions outlined.

Q: Are there any fees associated with the after-school programs?
A: There may be fees associated with the after-school programs at the Hubert H. Humphrey Recreation Center. The form may include information about the fees and payment options.

Q: How can the completed form be submitted?
A: The completed form can be submitted in person at the Hubert H. Humphrey Recreation Center or through the provided contact information on the form.

Q: Are there any age restrictions for the after-school programs?
A: The form may specify any age restrictions or eligibility requirements for the after-school programs at the Hubert H. Humphrey Recreation Center.

ADVERTISEMENT

Form Details:

  • The latest edition currently provided by the Department of Recreation and Parks - City of Los Angeles, California;
  • Ready to use and print;
  • Easy to customize;
  • Compatible with most PDF-viewing applications;
  • Fill out the form in our online filing application.

Download a printable version of the form by clicking the link below or browse more documents and templates provided by the Department of Recreation and Parks - City of Los Angeles, California.

Download After School Registration Form and Waiver - Hubert H. Humphrey Recreation Center - City of Los Angeles, California

4.8 of 5 (19 votes)
  • After School Registration Form and Waiver - Hubert H. Humphrey Recreation Center - City of Los Angeles, California

    1

  • After School Registration Form and Waiver - Hubert H. Humphrey Recreation Center - City of Los Angeles, California, Page 2

    2

  • After School Registration Form and Waiver - Hubert H. Humphrey Recreation Center - City of Los Angeles, California, Page 3

    3

  • After School Registration Form and Waiver - Hubert H. Humphrey Recreation Center - City of Los Angeles, California, Page 1
  • After School Registration Form and Waiver - Hubert H. Humphrey Recreation Center - City of Los Angeles, California, Page 2
  • After School Registration Form and Waiver - Hubert H. Humphrey Recreation Center - City of Los Angeles, California, Page 3
Prev 1 2 3 Next
ADVERTISEMENT