Form NHJB-2094-D Dwi First Offense Sentencing Order - New Hampshire

Notification Icon This version of the form is not currently in use and is provided for reference only. Download this version of Form NHJB-2094-D for the current year.

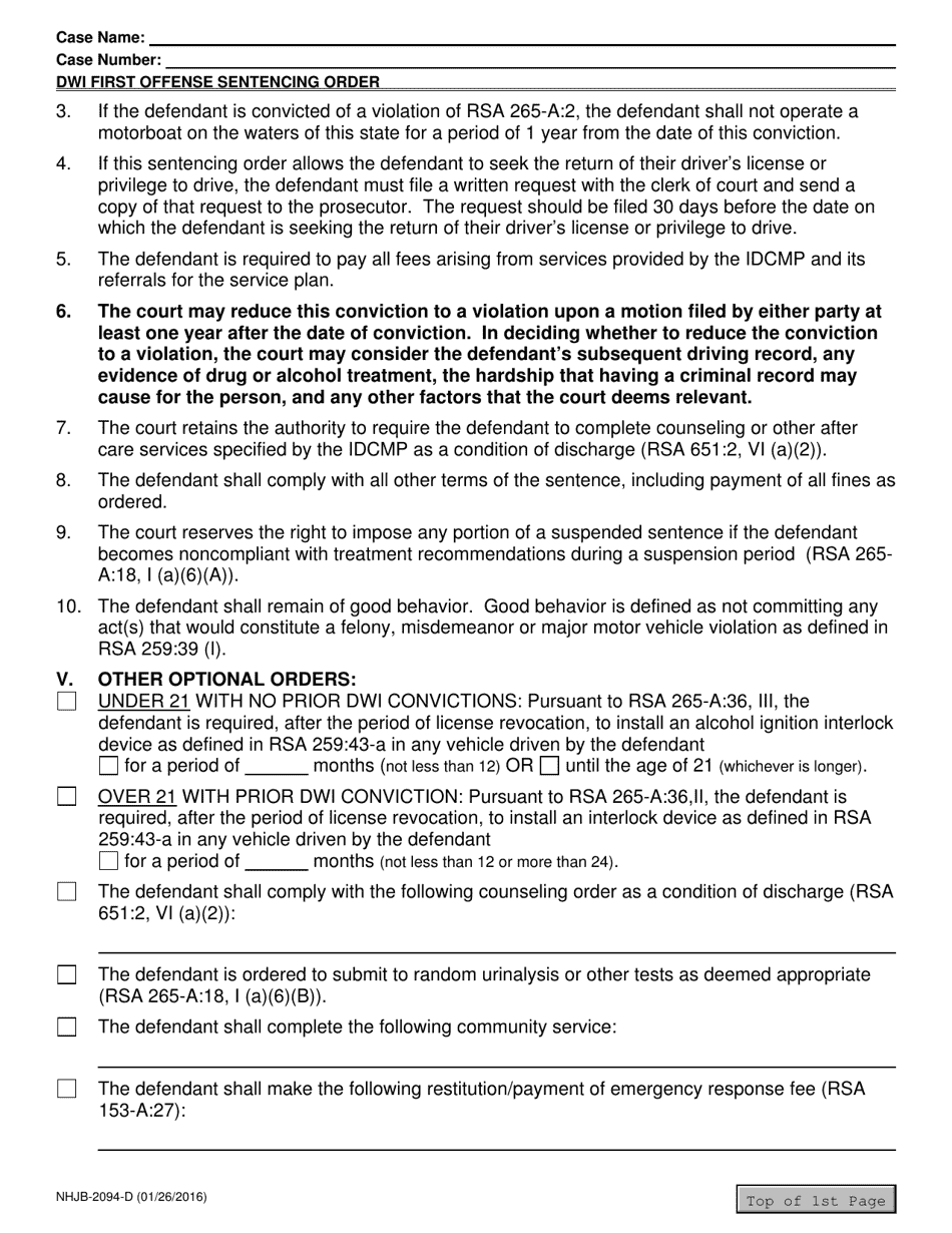
Form NHJB-2094-D Dwi First Offense Sentencing Order - New Hampshire

What Is Form NHJB-2094-D?

This is a legal form that was released by the New Hampshire Judicial Branch - a government authority operating within New Hampshire. As of today, no separate filing guidelines for the form are provided by the issuing department.

FAQ

Q: What is Form NHJB-2094-D?
A: Form NHJB-2094-D is the DWI First Offense Sentencing Order in New Hampshire.

Q: What is a DWI First Offense Sentencing Order?
A: A DWI First Offense Sentencing Order is a legal document that outlines the penalties and consequences for a first-time driving while intoxicated (DWI) offense in New Hampshire.

Q: What information is included in Form NHJB-2094-D?
A: Form NHJB-2094-D includes information such as the defendant's name, offense date, charges, penalties, fines, and any additional requirements or conditions imposed by the court.

Q: What should I do if I receive Form NHJB-2094-D?
A: If you receive Form NHJB-2094-D, it is important to review the document carefully and comply with all the instructions, penalties, and requirements outlined in the sentencing order.

Q: Can I appeal a DWI First Offense Sentencing Order?
A: Yes, if you disagree with the sentencing order, you may have the right to appeal the decision. It is advisable to consult with an attorney to determine the best course of action.

Q: Are the penalties the same for all first-time DWI offenses in New Hampshire?
A: The penalties for first-time DWI offenses in New Hampshire can vary depending on the specific circumstances of the case, such as blood alcohol concentration (BAC) level, prior offenses, and any aggravating factors.

Q: What are some common penalties for a first-time DWI offense in New Hampshire?
A: Common penalties for a first-time DWI offense in New Hampshire may include fines, license suspension, alcohol education programs, probation, community service, and the installation of an ignition interlock device.

Q: Can I get a restricted driver's license after a DWI conviction in New Hampshire?
A: Possibly. In some cases, individuals convicted of a DWI offense in New Hampshire may be eligible for a restricted driver's license, which allows them to drive with certain restrictions, such as to and from work or school.

Q: What happens if I violate the terms of the DWI First Offense Sentencing Order?
A: If you violate the terms of the DWI First Offense Sentencing Order, you may face additional legal consequences, such as increased fines, extended probation, license revocation, or even imprisonment.

ADVERTISEMENT

Form Details:

  • Released on January 26, 2016;
  • The latest edition provided by the New Hampshire Judicial Branch;
  • Easy to use and ready to print;
  • Quick to customize;
  • Compatible with most PDF-viewing applications;
  • Fill out the form in our online filing application.

Download a fillable version of Form NHJB-2094-D by clicking the link below or browse more documents and templates provided by the New Hampshire Judicial Branch.

Download Form NHJB-2094-D Dwi First Offense Sentencing Order - New Hampshire

4.3 of 5 (22 votes)
  • Form NHJB-2094-D Dwi First Offense Sentencing Order - New Hampshire

    1

  • Form NHJB-2094-D Dwi First Offense Sentencing Order - New Hampshire, Page 2

    2

  • Form NHJB-2094-D Dwi First Offense Sentencing Order - New Hampshire, Page 3

    3

  • Form NHJB-2094-D Dwi First Offense Sentencing Order - New Hampshire, Page 4

    4

  • Form NHJB-2094-D Dwi First Offense Sentencing Order - New Hampshire, Page 1
  • Form NHJB-2094-D Dwi First Offense Sentencing Order - New Hampshire, Page 2
  • Form NHJB-2094-D Dwi First Offense Sentencing Order - New Hampshire, Page 3
  • Form NHJB-2094-D Dwi First Offense Sentencing Order - New Hampshire, Page 4
Prev 1 2 3 4 Next
ADVERTISEMENT