Form NHJB-2096-D Dwi Third or Subsequent Offense Sentencing Order - New Hampshire

Notification Icon This version of the form is not currently in use and is provided for reference only. Download this version of Form NHJB-2096-D for the current year.

Form NHJB-2096-D Dwi Third or Subsequent Offense Sentencing Order - New Hampshire

What Is Form NHJB-2096-D?

This is a legal form that was released by the New Hampshire Judicial Branch - a government authority operating within New Hampshire. As of today, no separate filing guidelines for the form are provided by the issuing department.

FAQ

Q: What is Form NHJB-2096-D?
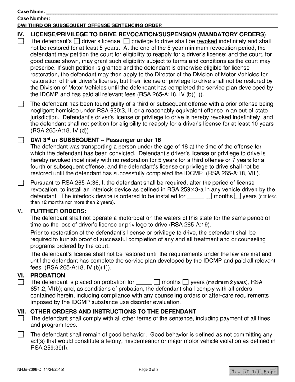
A: Form NHJB-2096-D is the Sentencing Order for a Third or Subsequent Offense of Driving While Intoxicated (DWI) in New Hampshire.

Q: What is a Third or Subsequent Offense of DWI?
A: A Third or Subsequent Offense of DWI refers to an individual who has been convicted of driving while intoxicated multiple times in New Hampshire.

Q: What is the purpose of Form NHJB-2096-D?
A: The purpose of Form NHJB-2096-D is to document the sentencing details for a Third or Subsequent Offense of DWI in New Hampshire.

Q: Who needs to complete Form NHJB-2096-D?
A: Form NHJB-2096-D needs to be completed by the court or the judge overseeing the sentencing of a Third or Subsequent Offense of DWI in New Hampshire.

ADVERTISEMENT

Form Details:

  • Released on November 24, 2015;
  • The latest edition provided by the New Hampshire Judicial Branch;
  • Easy to use and ready to print;
  • Quick to customize;
  • Compatible with most PDF-viewing applications;
  • Fill out the form in our online filing application.

Download a fillable version of Form NHJB-2096-D by clicking the link below or browse more documents and templates provided by the New Hampshire Judicial Branch.

Download Form NHJB-2096-D Dwi Third or Subsequent Offense Sentencing Order - New Hampshire

4.6 of 5 (10 votes)
  • Form NHJB-2096-D Dwi Third or Subsequent Offense Sentencing Order - New Hampshire

    1

  • Form NHJB-2096-D Dwi Third or Subsequent Offense Sentencing Order - New Hampshire, Page 2

    2

  • Form NHJB-2096-D Dwi Third or Subsequent Offense Sentencing Order - New Hampshire, Page 3

    3

  • Form NHJB-2096-D Dwi Third or Subsequent Offense Sentencing Order - New Hampshire, Page 1
  • Form NHJB-2096-D Dwi Third or Subsequent Offense Sentencing Order - New Hampshire, Page 2
  • Form NHJB-2096-D Dwi Third or Subsequent Offense Sentencing Order - New Hampshire, Page 3
Prev 1 2 3 Next
ADVERTISEMENT