Neighborhood Empowerment Zone (Nez) Application for Incentives - All Projects Except Single Family - City of Fort Worth, Texas

Neighborhood Empowerment Zone (Nez) Application for Incentives - All Projects Except Single Family - City of Fort Worth, Texas

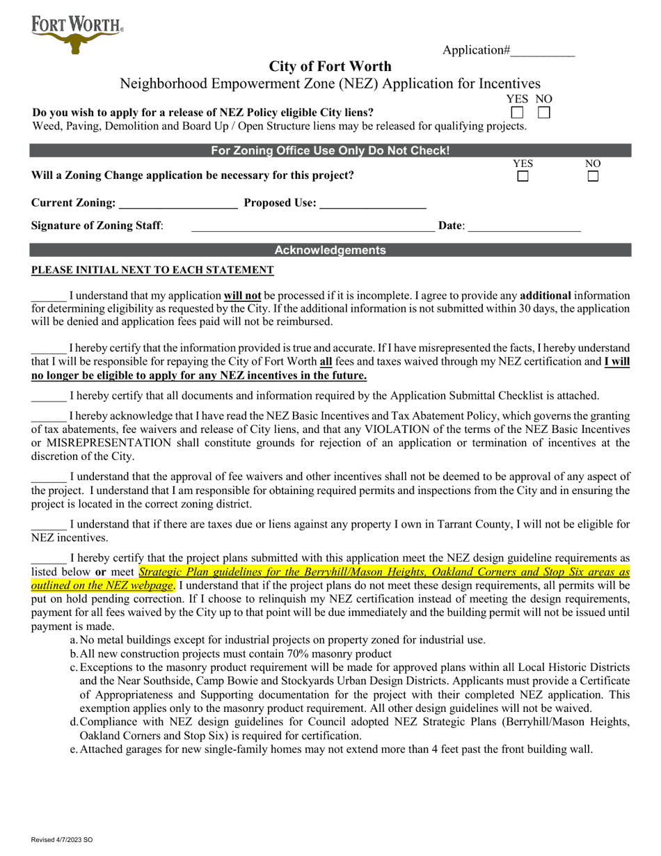
Neighborhood Empowerment Zone (Nez) Application for Incentives - All Projects Except Single Family is a legal document that was released by the Neighborhood Services Department - City of Fort Worth, Texas - a government authority operating within Texas. The form may be used strictly within City of Fort Worth.

FAQ

Q: What is a Neighborhood Empowerment Zone (NEZ) application?
A: A Neighborhood Empowerment Zone (NEZ) application is a request for incentives for a project, excluding single-family projects, in the City of Fort Worth, Texas.

Q: What types of projects are eligible for the NEZ application in Fort Worth, Texas?
A: All projects, except for single-family projects, are eligible to apply for incentives through the NEZ application in Fort Worth, Texas.

Q: What is the purpose of the Neighborhood Empowerment Zone (NEZ) program?
A: The purpose of the NEZ program is to stimulate economic development and investment in specific areas of Fort Worth, Texas.

Q: What are the benefits of applying for the NEZ application?
A: By applying for the NEZ application, projects can receive incentives such as tax abatements and fee waivers.

Q: How can I apply for the NEZ application in Fort Worth, Texas?
A: To apply for the NEZ application, you will need to complete and submit the necessary application forms to the City of Fort Worth, Texas.

Q: Are single-family projects eligible for the NEZ application?
A: No, single-family projects are not eligible for the NEZ application. Only all other types of projects are eligible.

ADVERTISEMENT

Form Details:

  • Released on April 7, 2023;
  • The latest edition currently provided by the Neighborhood Services Department - City of Fort Worth, Texas;
  • Ready to use and print;
  • Easy to customize;
  • Compatible with most PDF-viewing applications;
  • Fill out the form in our online filing application.

Download a printable version of the form by clicking the link below or browse more documents and templates provided by the Neighborhood Services Department - City of Fort Worth, Texas.

Download Neighborhood Empowerment Zone (Nez) Application for Incentives - All Projects Except Single Family - City of Fort Worth, Texas

4.7 of 5 (10 votes)
  • Neighborhood Empowerment Zone (Nez) Application for Incentives - All Projects Except Single Family - City of Fort Worth, Texas

    1

  • Neighborhood Empowerment Zone (Nez) Application for Incentives - All Projects Except Single Family - City of Fort Worth, Texas, Page 2

    2

  • Neighborhood Empowerment Zone (Nez) Application for Incentives - All Projects Except Single Family - City of Fort Worth, Texas, Page 3

    3

  • Neighborhood Empowerment Zone (Nez) Application for Incentives - All Projects Except Single Family - City of Fort Worth, Texas, Page 4

    4

  • Neighborhood Empowerment Zone (Nez) Application for Incentives - All Projects Except Single Family - City of Fort Worth, Texas, Page 5

    5

  • Neighborhood Empowerment Zone (Nez) Application for Incentives - All Projects Except Single Family - City of Fort Worth, Texas, Page 6

    6

  • Neighborhood Empowerment Zone (Nez) Application for Incentives - All Projects Except Single Family - City of Fort Worth, Texas, Page 1
  • Neighborhood Empowerment Zone (Nez) Application for Incentives - All Projects Except Single Family - City of Fort Worth, Texas, Page 2
  • Neighborhood Empowerment Zone (Nez) Application for Incentives - All Projects Except Single Family - City of Fort Worth, Texas, Page 3
  • Neighborhood Empowerment Zone (Nez) Application for Incentives - All Projects Except Single Family - City of Fort Worth, Texas, Page 4
  • Neighborhood Empowerment Zone (Nez) Application for Incentives - All Projects Except Single Family - City of Fort Worth, Texas, Page 5
  • Neighborhood Empowerment Zone (Nez) Application for Incentives - All Projects Except Single Family - City of Fort Worth, Texas, Page 6
Prev 1 2 3 4 5 6 Next
ADVERTISEMENT