Form 2304 Notary Public Complaint - Texas

Notification Icon This version of the form is not currently in use and is provided for reference only. Download this version of Form 2304 for the current year.

Form 2304 Notary Public Complaint - Texas

What Is Form 2304?

This is a legal form that was released by the Texas Secretary of State - a government authority operating within Texas. As of today, no separate filing guidelines for the form are provided by the issuing department.

FAQ

Q: What is Form 2304?
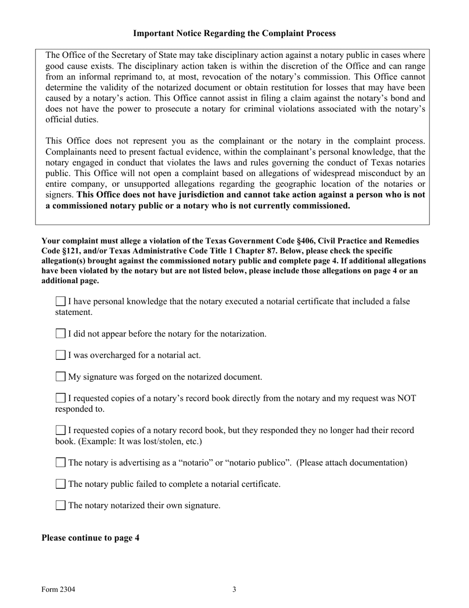
A: Form 2304 is a Notary Public Complaint form in Texas.

Q: Who can file a Form 2304?
A: Anyone who has a complaint about a Notary Public in Texas can file a Form 2304.

Q: What information do I need to provide on Form 2304?
A: You will need to provide your name, contact information, details of the complaint, and any supporting documentation.

Q: What should I do if I have a complaint about a Notary Public in Texas?
A: You should fill out Form 2304, provide all the necessary information, and submit it to the appropriate authority.

Q: Who is the appropriate authority to submit Form 2304 to?
A: Form 2304 should be submitted to the Texas Secretary of State's office.

Q: What happens after I submit Form 2304?
A: The Texas Secretary of State's office will review your complaint and take appropriate action.

Q: Can I remain anonymous when filing a Form 2304?
A: No, you will need to provide your name and contact information on the form.

Q: What can I do if I am not satisfied with the outcome of my Form 2304 complaint?
A: If you are not satisfied with the outcome, you may have the option to pursue further legal action.

Q: Is there a fee to file Form 2304?
A: There is no fee to file Form 2304.

ADVERTISEMENT

Form Details:

  • Released on July 1, 2022;
  • The latest edition provided by the Texas Secretary of State;
  • Easy to use and ready to print;
  • Quick to customize;
  • Compatible with most PDF-viewing applications;
  • Fill out the form in our online filing application.

Download a fillable version of Form 2304 by clicking the link below or browse more documents and templates provided by the Texas Secretary of State.

Download Form 2304 Notary Public Complaint - Texas

4.8 of 5 (22 votes)
  • Form 2304 Notary Public Complaint - Texas

    1

  • Form 2304 Notary Public Complaint - Texas, Page 2

    2

  • Form 2304 Notary Public Complaint - Texas, Page 3

    3

  • Form 2304 Notary Public Complaint - Texas, Page 4

    4

  • Form 2304 Notary Public Complaint - Texas, Page 5

    5

  • Form 2304 Notary Public Complaint - Texas, Page 1
  • Form 2304 Notary Public Complaint - Texas, Page 2
  • Form 2304 Notary Public Complaint - Texas, Page 3
  • Form 2304 Notary Public Complaint - Texas, Page 4
  • Form 2304 Notary Public Complaint - Texas, Page 5
Prev 1 2 3 4 5 Next
ADVERTISEMENT