Form DFW753.5A Environmental Document Filing Fee Cash Receipt - California

Notification Icon This version of the form is not currently in use and is provided for reference only. Download this version of Form DFW753.5A for the current year.

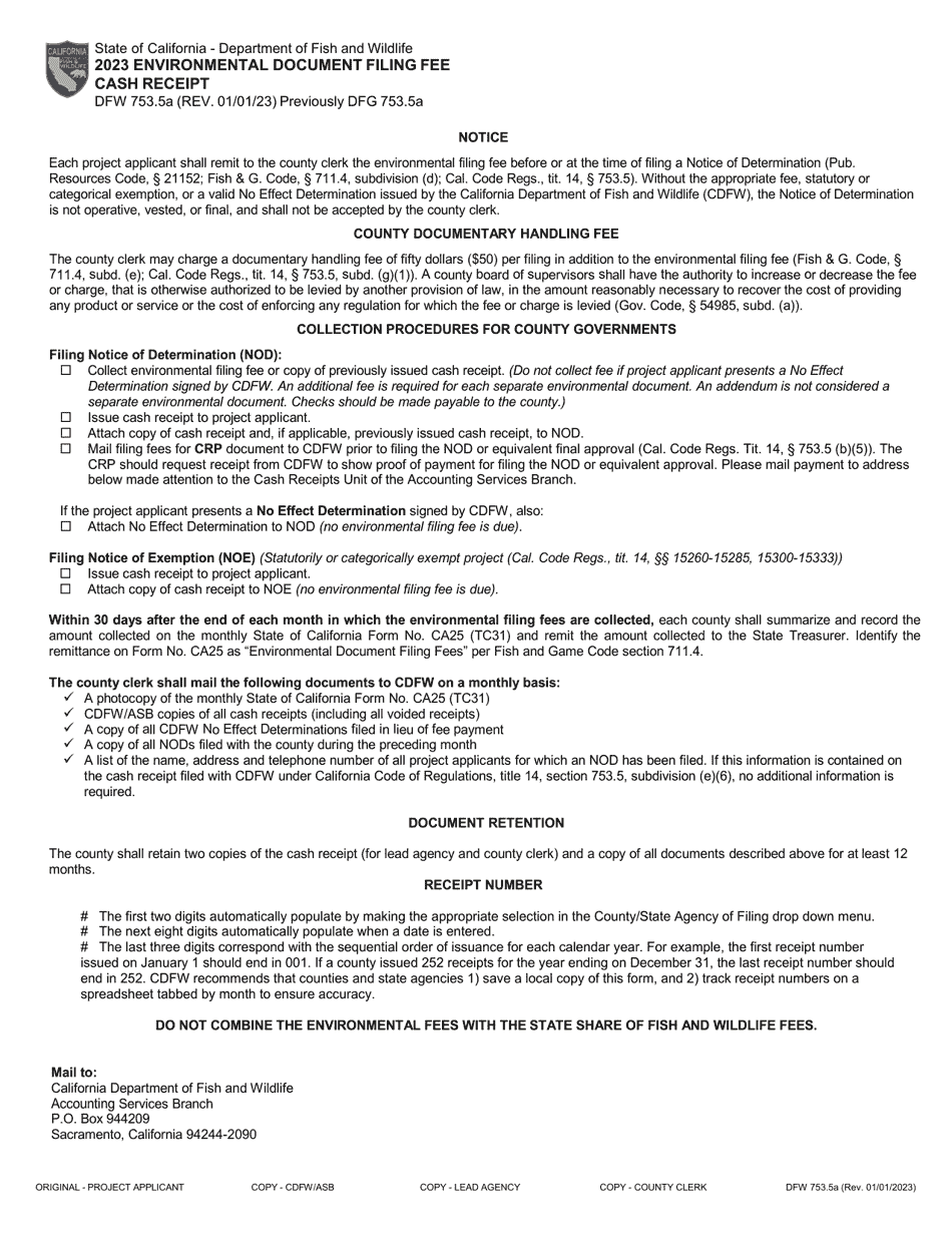
Form DFW753.5A Environmental Document Filing Fee Cash Receipt - California

What Is Form DFW753.5A?

This is a legal form that was released by the California Department of Fish & Wildlife - a government authority operating within California. As of today, no separate filing guidelines for the form are provided by the issuing department.

FAQ

Q: What is Form DFW753.5A?
A: Form DFW753.5A is the Environmental Document Filing Fee Cash Receipt form.

Q: What is the purpose of Form DFW753.5A?
A: The purpose of Form DFW753.5A is to provide a receipt for the filing fee paid for environmental document filings.

Q: What is the filing fee for an environmental document?
A: The filing fee for an environmental document varies and is determined by the Department of Fish and Wildlife. The fee amount can be found on the form.

Q: Can I pay the filing fee in cash?
A: Yes, you can pay the filing fee in cash. The cash receipt provided by Form DFW753.5A serves as proof of payment.

ADVERTISEMENT

Form Details:

  • Released on January 1, 2023;
  • The latest edition provided by the California Department of Fish & Wildlife;
  • Easy to use and ready to print;
  • Quick to customize;
  • Compatible with most PDF-viewing applications;
  • Fill out the form in our online filing application.

Download a fillable version of Form DFW753.5A by clicking the link below or browse more documents and templates provided by the California Department of Fish & Wildlife.

Download Form DFW753.5A Environmental Document Filing Fee Cash Receipt - California

4.6 of 5 (46 votes)
  • Form DFW753.5A Environmental Document Filing Fee Cash Receipt - California

    1

  • Form DFW753.5A Environmental Document Filing Fee Cash Receipt - California, Page 2

    2

  • Form DFW753.5A Environmental Document Filing Fee Cash Receipt - California, Page 1
  • Form DFW753.5A Environmental Document Filing Fee Cash Receipt - California, Page 2
Prev 1 2 Next
ADVERTISEMENT