Tent Permit Application - City of Richmond, California

Tent Permit Application - City of Richmond, California

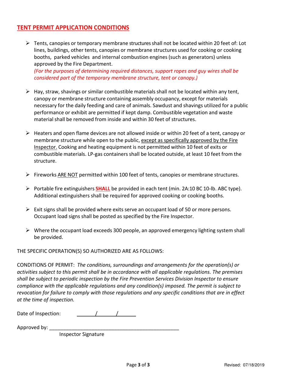
Tent Permit Application is a legal document that was released by the Public Safety Department - City of Richmond, California - a government authority operating within California. The form may be used strictly within City of Richmond.

FAQ

Q: What is the purpose of a tent permit?
A: The purpose of a tent permit is to ensure safety and compliance with building codes and regulations for temporary structures.

Q: What types of events require a tent permit?
A: Events such as weddings, parties, festivals, and other temporary gatherings typically require a tent permit.

Q: How much does a tent permit cost?
A: The cost of a tent permit may vary. It is best to contact the City of Richmond for more information.

Q: Are there any restrictions or regulations for tents?
A: Yes, there are usually restrictions and regulations for tents, such as the maximum size, location, and safety requirements. These can be found in the tent permit application and local building codes.

Q: How far in advance should I apply for a tent permit?
A: It is recommended to apply for a tent permit at least 30 days in advance of your event to allow for processing and approval.

Q: What happens if I don't get a tent permit?
A: If you hold an event without a required tent permit, you may be subject to penalties, fines, or shut down of the event by the city authorities.

Q: How long is a tent permit valid for?
A: The validity period of a tent permit may vary. It is best to check with the City of Richmond for specific details.

Q: Can I make changes to my tent permit application after it has been approved?
A: Any changes to a tent permit application after approval may require additional review and approval by the City of Richmond.

ADVERTISEMENT

Form Details:

  • Released on July 18, 2019;
  • The latest edition currently provided by the Public Safety Department - City of Richmond, California;
  • Ready to use and print;
  • Easy to customize;
  • Compatible with most PDF-viewing applications;
  • Fill out the form in our online filing application.

Download a printable version of the form by clicking the link below or browse more documents and templates provided by the Public Safety Department - City of Richmond, California.

Download Tent Permit Application - City of Richmond, California

4.6 of 5 (21 votes)
  • Tent Permit Application - City of Richmond, California

    1

  • Tent Permit Application - City of Richmond, California, Page 2

    2

  • Tent Permit Application - City of Richmond, California, Page 3

    3

  • Tent Permit Application - City of Richmond, California, Page 1
  • Tent Permit Application - City of Richmond, California, Page 2
  • Tent Permit Application - City of Richmond, California, Page 3
Prev 1 2 3 Next
ADVERTISEMENT

Related Documents