Pre-construction Notification - Ridot and Army Corps of Engineers Ri Programmatic General Permit Application Review Checklist - Rhode Island

Pre-construction Notification - Ridot and Army Corps of Engineers Ri Programmatic General Permit Application Review Checklist - Rhode Island

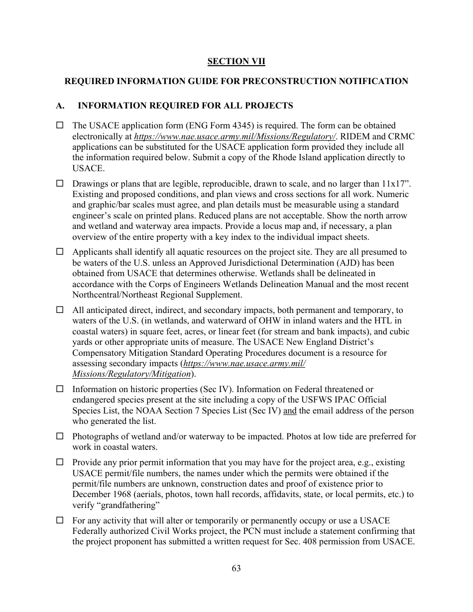
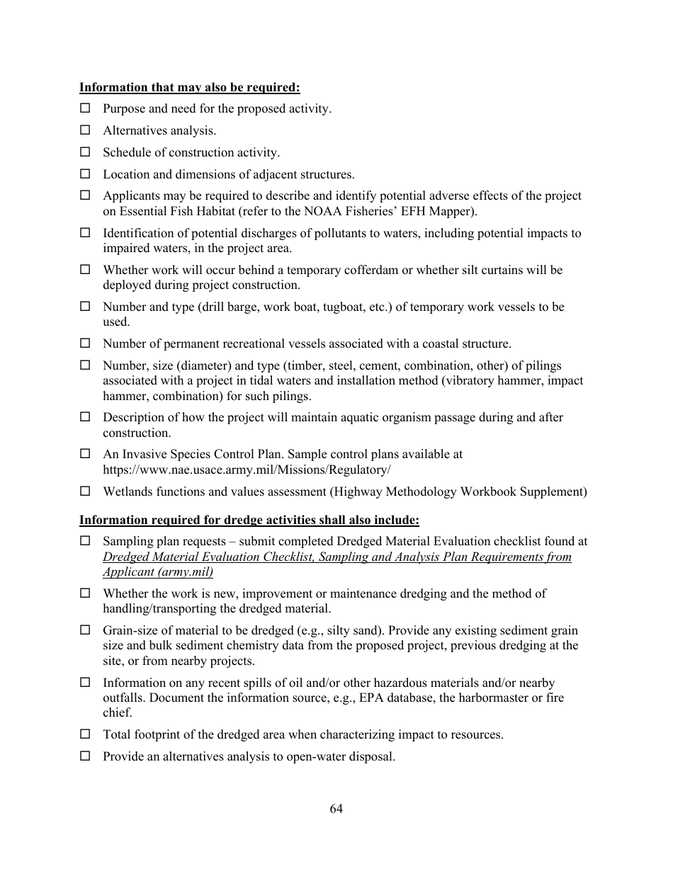
The Pre-construction Notification - Ridot and Army Corps of Engineers Ri Programmatic General Permit Application Review Checklist - Rhode Island is a document that is required for review before any construction can take place in certain locations within Rhode Island.

This Pre-construction Notification checklist ensures that contractors, developers, and builders are complying with environmental regulations, local guidelines, and any other requisite laws. By filling out this form, applicants are providing assurance that the proposed project won't have significant negative effects on surrounding areas, including bodies of water, vegetation, and wildlife habitats.

The RIDOT (Rhode Island Department of Transportation) and the Army Corps of Engineers come together to evaluate these applications and offer permits based on the fulfillment of the conditions laid out in this checklist. Their aim is to protect the natural resources, infrastructure, and environment of Rhode Island from harms of unauthorized or unregulated construction.

The Pre-construction Notification - RIDOT and Army Corps of Engineers RI Programmatic General Permit Application Review Checklist - Rhode Island is usually filed by the applicant, who could be a landowner, contractor, or developer proposing a construction project in Rhode Island. The document is reviewed and approved by the Rhode Island Department of Transportation (RIDOT) and the U.S. Army Corps of Engineers, demonstrating that the project complies with applicable regulations and environmental standards. It's important to note that specific requirements and processes may vary depending on the scope and nature of the project.

FAQ

Q: What is a Programmatic General Permit?
A: A Programmatic General Permit(PGP) is a type of permit issued by the Army Corps of Engineers (Army) for specific categories of activities that are similar in nature and cause minimal environmental impact.

Q: Who uses the Programmatic General Permit in Rhode Island?
A: The Rhode Island Department of Transportation and other entities developing infrastructure projects use the PGP in Rhode Island.

Q: What is Pre-construction notification?
A: Pre-construction notification is a requirement in some permits where an applicant must notify the Corps of Engineers before commencing work on an activity authorized by a permit.

Q: What is the purpose of the Army Corps of Engineers RI Programmatic General Permit Application Review Checklist?
A: The purpose of this checklist is to ensure all necessary documents and procedures have been followed before a PGP is granted for a project in Rhode Island. It is to facilitate the review of the application by the Army Corp of Engineers.

Q: Why is the Ridot involved in the PGP application process?
A: Ridot, or the Rhode Island Department of Transportation, is typically involved in the application of PGPs as they are often the entities undertaking infrastructure projects that require such permits.

Q: What happens after a PGP application is submitted in Rhode Island?
A: After submission, the application is reviewed by the Army Corps of Engineers. If all requirements are met, the permit is typically granted.

Q: What kind of projects typically require a PGP in Rhode Island?
A: Projects that typically require a PGP in Rhode Island are those that involve discharges of dredged or fill material into waters of the U.S, including wetlands, and are similar in nature and cause minimal environmental harm.

ADVERTISEMENT

Download Pre-construction Notification - Ridot and Army Corps of Engineers Ri Programmatic General Permit Application Review Checklist - Rhode Island

4.8 of 5 (20 votes)
  • Pre-construction Notification - Ridot and Army Corps of Engineers Ri Programmatic General Permit Application Review Checklist - Rhode Island

    1

  • Pre-construction Notification - Ridot and Army Corps of Engineers Ri Programmatic General Permit Application Review Checklist - Rhode Island, Page 2

    2

  • Pre-construction Notification - Ridot and Army Corps of Engineers Ri Programmatic General Permit Application Review Checklist - Rhode Island, Page 3

    3

  • Pre-construction Notification - Ridot and Army Corps of Engineers Ri Programmatic General Permit Application Review Checklist - Rhode Island, Page 4

    4

  • Pre-construction Notification - Ridot and Army Corps of Engineers Ri Programmatic General Permit Application Review Checklist - Rhode Island, Page 5

    5

  • Pre-construction Notification - Ridot and Army Corps of Engineers Ri Programmatic General Permit Application Review Checklist - Rhode Island, Page 6

    6

  • Pre-construction Notification - Ridot and Army Corps of Engineers Ri Programmatic General Permit Application Review Checklist - Rhode Island, Page 7

    7

  • Pre-construction Notification - Ridot and Army Corps of Engineers Ri Programmatic General Permit Application Review Checklist - Rhode Island, Page 1
  • Pre-construction Notification - Ridot and Army Corps of Engineers Ri Programmatic General Permit Application Review Checklist - Rhode Island, Page 2
  • Pre-construction Notification - Ridot and Army Corps of Engineers Ri Programmatic General Permit Application Review Checklist - Rhode Island, Page 3
  • Pre-construction Notification - Ridot and Army Corps of Engineers Ri Programmatic General Permit Application Review Checklist - Rhode Island, Page 4
  • Pre-construction Notification - Ridot and Army Corps of Engineers Ri Programmatic General Permit Application Review Checklist - Rhode Island, Page 5
  • Pre-construction Notification - Ridot and Army Corps of Engineers Ri Programmatic General Permit Application Review Checklist - Rhode Island, Page 6
  • Pre-construction Notification - Ridot and Army Corps of Engineers Ri Programmatic General Permit Application Review Checklist - Rhode Island, Page 7
Prev 1 2 3 4 5 ... 7 Next
ADVERTISEMENT