Inyo County Commercial Photography and Filming Application and Permit - Inyo County, California

Inyo County Commercial Photography and Filming Application and Permit - Inyo County, California

Inyo County Commercial Photography and Filming Application and Permit is a legal document that was released by the Public Works Department - Inyo County, California - a government authority operating within California. The form may be used strictly within Inyo County.

FAQ

Q: What is the Inyo County Commercial Photography and Filming Application and Permit?
A: The Inyo County Commercial Photography and Filming Application and Permit is a required document for individuals or businesses wanting to conduct commercial photography or filming activities in Inyo County, California.

Q: Who needs to obtain the Inyo County Commercial Photography and Filming Application and Permit?
A: Anyone planning to engage in commercial photography or filming activities in Inyo County must obtain the permit, regardless of whether they are a resident or non-resident.

Q: What information is required in the application?
A: The application requires various information such as the applicant's personal and contact details, project description and purpose, filming locations, dates and times, insurance information, and a detailed description of the equipment and vehicles to be used.

Q: What is the processing time for the Inyo County Commercial Photography and Filming Application and Permit?
A: The processing time is typically around 10 business days after the completed application and all required documents have been submitted.

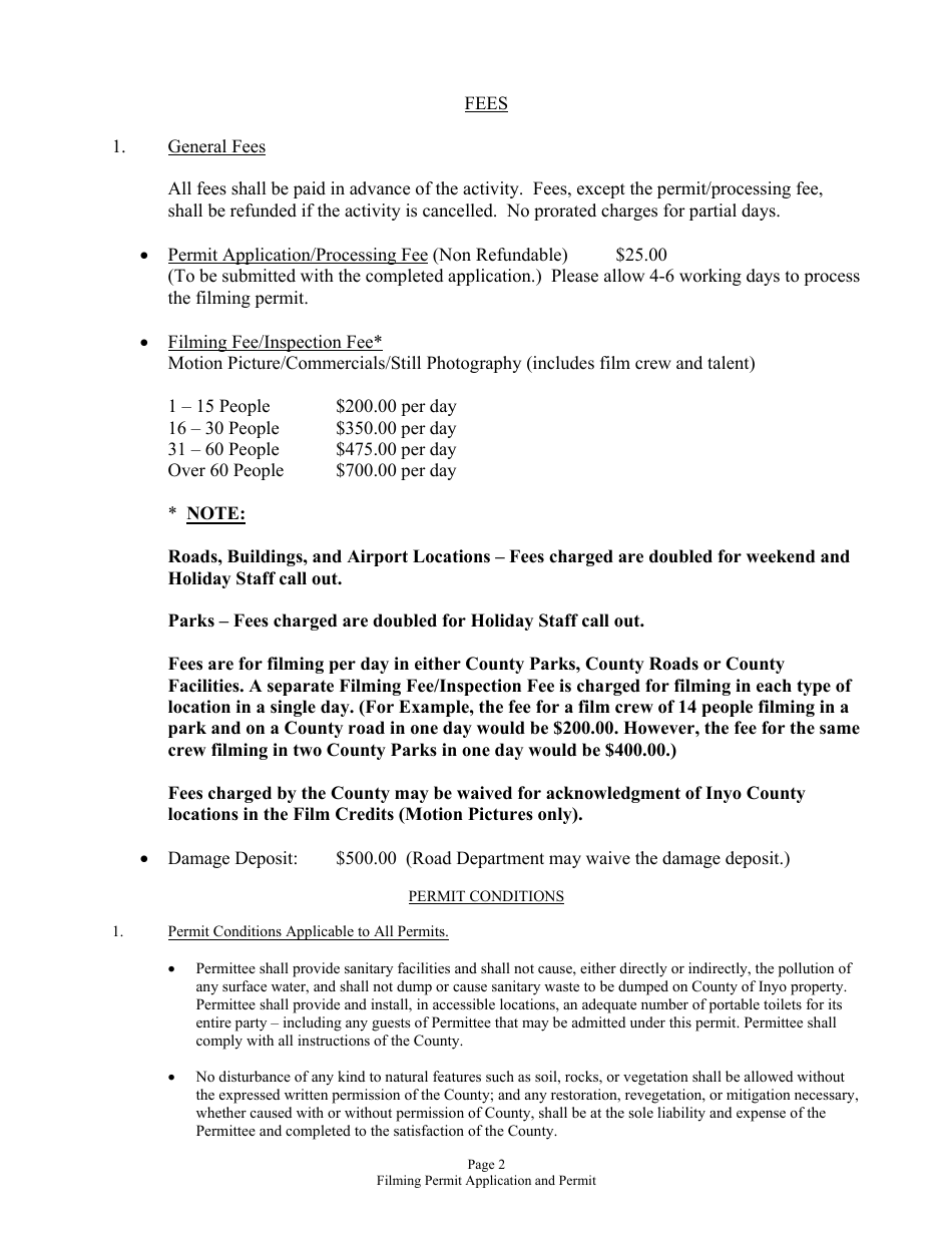
Q: Is there a fee for the Inyo County Commercial Photography and Filming Application and Permit?
A: Yes, there is a non-refundable application fee that must be paid at the time of submission.

Q: Are there any additional permits required for commercial photography and filming in Inyo County?
A: Depending on the nature of the project, additional permits such as special event permits or environmental permits may be required.

Q: Can I start filming before obtaining the permit?
A: No, it is illegal to engage in commercial photography or filming activities in Inyo County without obtaining the necessary permits.

Q: What happens if I film without a permit?
A: Filming without a permit is a violation of Inyo County regulations and may result in penalties, fines, and legal action.

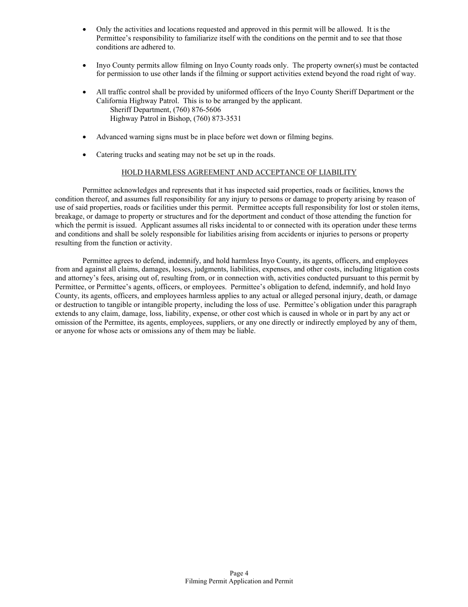
Q: Are there any restrictions or regulations for commercial photography and filming in Inyo County?
A: Yes, there are specific regulations regarding noise control, littering, parking, and other considerations that must be followed during photography and filming activities in Inyo County.

ADVERTISEMENT

Form Details:

  • The latest edition currently provided by the Public Works Department - Inyo County, California;
  • Ready to use and print;
  • Easy to customize;
  • Compatible with most PDF-viewing applications;
  • Fill out the form in our online filing application.

Download a fillable version of the form by clicking the link below or browse more documents and templates provided by the Public Works Department - Inyo County, California.

Download Inyo County Commercial Photography and Filming Application and Permit - Inyo County, California

4.5 of 5 (29 votes)
  • Inyo County Commercial Photography and Filming Application and Permit - Inyo County, California

    1

  • Inyo County Commercial Photography and Filming Application and Permit - Inyo County, California, Page 2

    2

  • Inyo County Commercial Photography and Filming Application and Permit - Inyo County, California, Page 3

    3

  • Inyo County Commercial Photography and Filming Application and Permit - Inyo County, California, Page 4

    4

  • Inyo County Commercial Photography and Filming Application and Permit - Inyo County, California, Page 5

    5

  • Inyo County Commercial Photography and Filming Application and Permit - Inyo County, California, Page 1
  • Inyo County Commercial Photography and Filming Application and Permit - Inyo County, California, Page 2
  • Inyo County Commercial Photography and Filming Application and Permit - Inyo County, California, Page 3
  • Inyo County Commercial Photography and Filming Application and Permit - Inyo County, California, Page 4
  • Inyo County Commercial Photography and Filming Application and Permit - Inyo County, California, Page 5
Prev 1 2 3 4 5 Next
ADVERTISEMENT

Related Documents