Land Development Review - Wetland as-Built Plan Checklist - City of Charlotte, North Carolina

Land Development Review - Wetland as-Built Plan Checklist - City of Charlotte, North Carolina

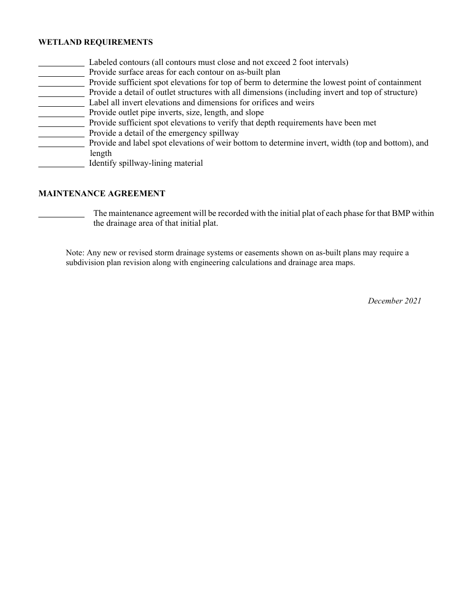
Land Development Review - Wetland as-Built Plan Checklist is a legal document that was released by the Storm Water Services - City of Charlotte, North Carolina - a government authority operating within North Carolina. The form may be used strictly within City of Charlotte.

FAQ

Q: What is the purpose of the Wetland as-Built Plan Checklist?
A: The Wetland as-Built Plan Checklist is used for land development reviews in the City of Charlotte, North Carolina.

Q: What does the Wetland as-Built Plan Checklist include?
A: The Wetland as-Built Plan Checklist includes the required information and documentation for reviewing wetland development projects.

Q: Who is responsible for submitting the Wetland as-Built Plan Checklist?
A: The land developer or project owner is responsible for submitting the Wetland as-Built Plan Checklist.

Q: Are wetland development projects subject to review in Charlotte, North Carolina?
A: Yes, wetland development projects in Charlotte, North Carolina are subject to review.

Q: What happens if the Wetland as-Built Plan Checklist is not completed properly?
A: If the Wetland as-Built Plan Checklist is not completed properly, the land development review may be delayed or rejected.

ADVERTISEMENT

Form Details:

  • Released on December 1, 2021;
  • The latest edition currently provided by the Storm Water Services - City of Charlotte, North Carolina;
  • Ready to use and print;
  • Easy to customize;
  • Compatible with most PDF-viewing applications;
  • Fill out the form in our online filing application.

Download a printable version of the form by clicking the link below or browse more documents and templates provided by the Storm Water Services - City of Charlotte, North Carolina.

Download Land Development Review - Wetland as-Built Plan Checklist - City of Charlotte, North Carolina

4.4 of 5 (23 votes)
  • Land Development Review - Wetland as-Built Plan Checklist - City of Charlotte, North Carolina

    1

  • Land Development Review - Wetland as-Built Plan Checklist - City of Charlotte, North Carolina, Page 2

    2

  • Land Development Review - Wetland as-Built Plan Checklist - City of Charlotte, North Carolina, Page 1
  • Land Development Review - Wetland as-Built Plan Checklist - City of Charlotte, North Carolina, Page 2
Prev 1 2 Next
ADVERTISEMENT