Army
Business
Legal
Letters
Life
Real Estate
Tax
Wills
Blog
Upload
Adjunct Instructor General Application - Arizona
Fill
PDF
Online
PDF
Word
Army
Business
Legal
Letters
Life
Real Estate
Tax
Wills
Blog
Upload
Home
Legal
United States Legal Forms
Arizona Legal Forms
Arizona Department of Emergency and Military Affairs
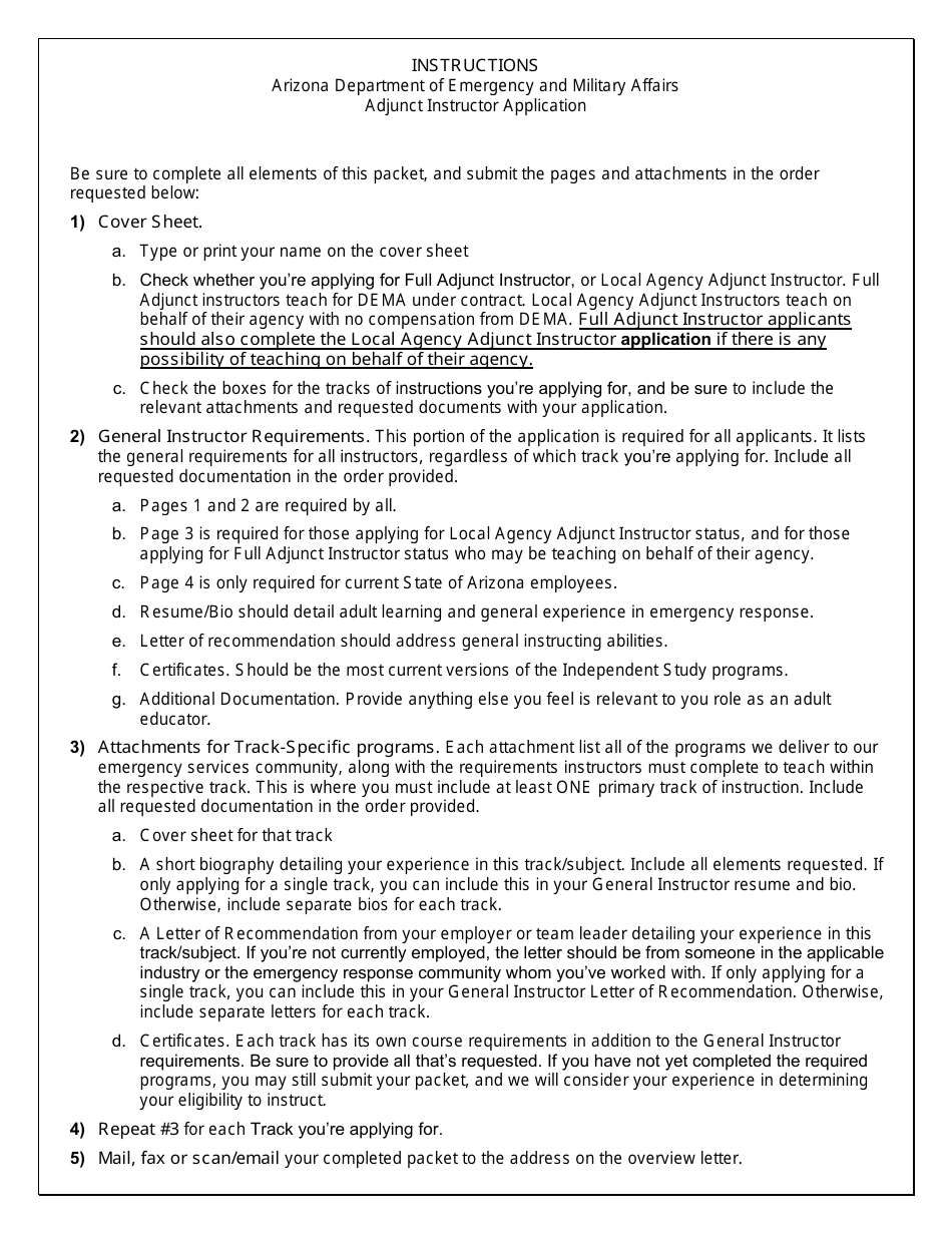
Adjunct Instructor General Application - Arizona
Adjunct Instructor General Application - Arizona
Preview
Fill
PDF
Online
PDF
Word
Fill PDF Online
Fill out online for free
without registration or credit card
ADVERTISEMENT
Download Adjunct Instructor General Application - Arizona
4.8
of 5
(
22 votes
)
PDF
Word
Fill PDF Online
1
2
3
4
5
6
7
Prev
1
2
3
4
5
...
7
Next
ADVERTISEMENT
Linked Topics
Teaching Positions
Arizona Department of Emergency and Military Affairs
Higher Education
Cover Letter Template
Arizona Legal Forms
Legal
United States Legal Forms
Preview
Fill
PDF
Online
PDF
Word
Related Documents
Application for CAP Character Development Instructor Appointment
Page 2 Adjunct Instructor Application - Applicant Information Sheet - Arizona
CAP Form 80-2 Application for CAP Character Development Instructor Appointment
Form ED-107-IDW Instructor Training Course Approval Application - Arizona
Form FDACS-16020 Application for Class "k" Firearms Instructor License - Arizona
Form DPS802-03211 Application for Qualification as School Bus Driver Instructor - Arizona
Form DPS802-07257 Application to Be a Recognized Law Enforcement Officers' Safety Act (Leosa) Instructor - Arizona
AZPOST Form MI Master Instructor (Mi) Application - Arizona
Form ED-101 Certificate for Instructor Approval Application for Original Approval, Renewal, or Changes to Approved Categories - Arizona
Form DDD-1691A FORFF Article 9 Instructor Application Packet - Arizona
Form ED-103 Request for Expedited Instructor Approval Application - Arizona
Ddess Substitute Teacher or Training Instructor Application Form
Form 96-0329 Professional Driver Training Instructor Application - Arizona
AZPOST Form SME2 Subject Matter Expert/Sme Instructor Application - Arizona
Nasaa Iar Continuing Education (Ce) Course Instructor Application