Army
Business
Legal
Letters
Life
Real Estate
Tax
Wills
Blog
Upload
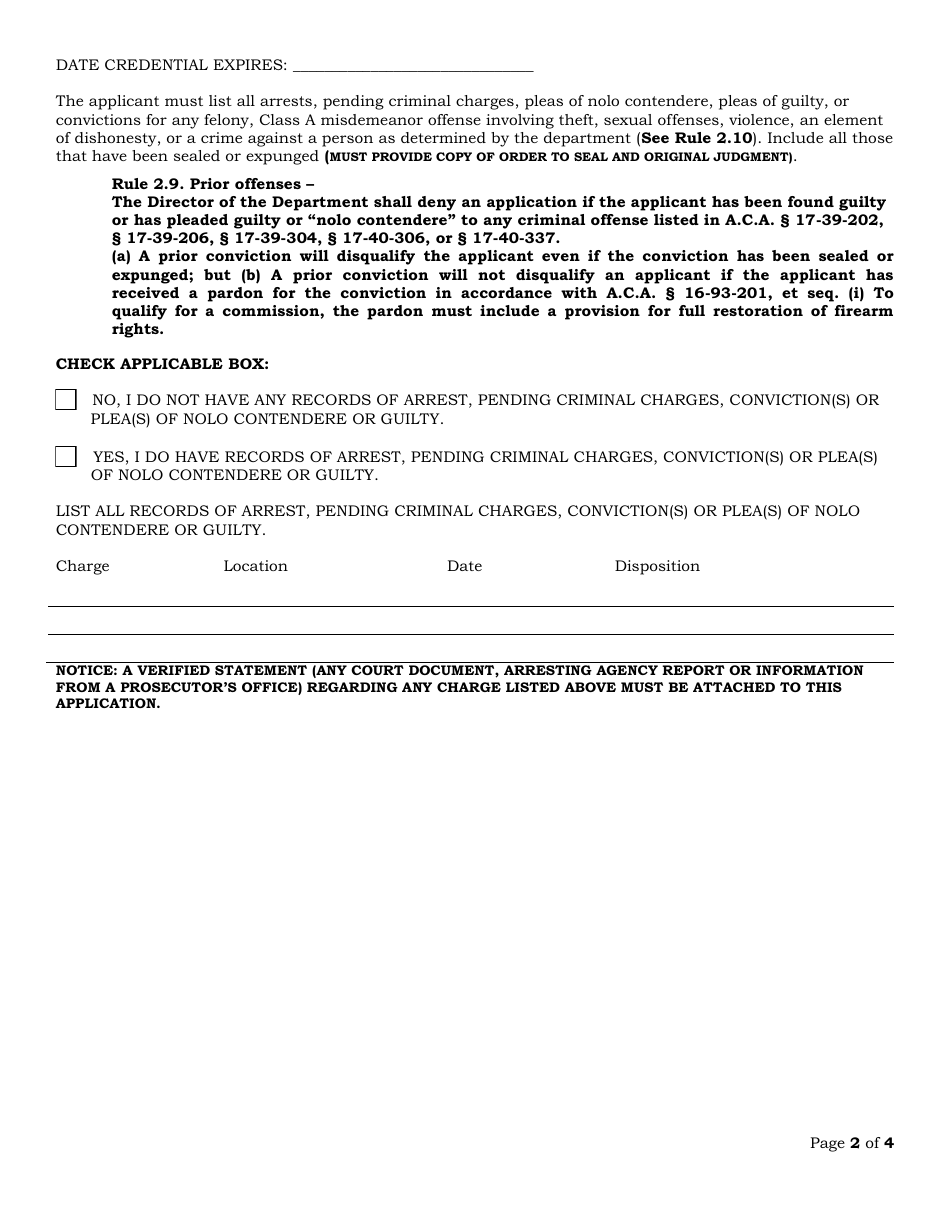
Credentialed Private Investigator Renewal Application - Arkansas
Fill
PDF
Online
PDF
Word
Army
Business
Legal
Letters
Life
Real Estate
Tax
Wills
Blog
Upload
Home
Legal
United States Legal Forms
Arkansas Legal Forms
Arkansas State Police
Credentialed Private Investigator Renewal Application - Arkansas
Credentialed Private Investigator Renewal Application - Arkansas
Preview
Fill
PDF
Online
PDF
Word
Fill PDF Online
Fill out online for free
without registration or credit card
ADVERTISEMENT
Download Credentialed Private Investigator Renewal Application - Arkansas
4.7
of 5
(
31 votes
)
PDF
Word
Fill PDF Online
1
2
3
4
Prev
1
2
3
4
Next
ADVERTISEMENT
Linked Topics
Arkansas State Police
Arkansas Legal Forms
Legal
United States Legal Forms
Preview
Fill
PDF
Online
PDF
Word
Related Documents
Credentialed Private Investigator Application - Arkansas
Facility Extension Request & Progress Updates
Request for Extension - Commercial Renewal Application - Arkansas
Out-of-State Credentialed Private Investigator Notification - Arkansas
Form GATT/CON Application for Restored Work - Continuation Sheet
IRS Form 4868 Application for Automatic Extension of Time to File U.S. Individual Income Tax Return, 2023
AF Form 1540A Application for Clinical Privileges/Medical Staff Appointment Update
VA Form 21P-8924 Application of Surviving Spouse or Child for Reps Benefits (Restored Entitlement Program for Survivors)
Form CG-1280 Vessel Renewal Notification - Application Form for Renewal
Form PTO/SB/459 Petition to Restore the Benefit of a Provisional Application (37 Cfr 1.78(B)) or to Restore the Priority to a Foreign Application (37 Cfr 1.55(C))
Form SSA-455-OCR-SM Disability Update Report
Form DBPR AID4003 Architecture Continuing Education Providers and Course Application
NGB Form 602 Army National Guard Bar to Continued Service, Immediate Reenlistment or Extension
ENG Form 4613 Major Item New Start (Mins) and Updated Continuing Major Items Civil Works Revolving Fund Plant Replacment and Improvement Program (In Thousands of Dollars)
Form CMS-10114 National Provider Identifier (Npi) Application/Update Form
DD Form 2490-44 Network Planning and Configuration Data - Assign, Accommodate, and Restore Received Bypass Worksheet
Biennial Budget Change Request Form - Change Level Requests for Restoring Currently Authorized Positions - Arkansas, 2022
Checklist: Restoring Water Quality in Buildings for Reopening
Form AD-582 Authorization for Restored Annual Leave Under P.l. 93-181 or P.l. 94-172
Form GATT Restored Works