Army
Business
Legal
Letters
Life
Real Estate
Tax
Wills
Blog
Upload
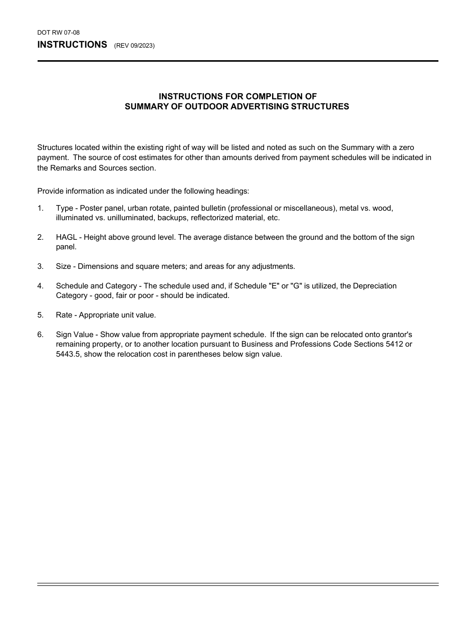
Form DOT RW07-08 Summary of Outdoor Advertising Structures - California
Fill
PDF
Online
PDF
Word
Army
Business
Legal
Letters
Life
Real Estate
Tax
Wills
Blog
Upload
Home
Legal
United States Legal Forms
California Legal Forms
California Department of Transportation
Form DOT RW07-08 Summary of Outdoor Advertising Structures - California
Form DOT RW07-08 Summary of Outdoor Advertising Structures - California
Preview
Fill
PDF
Online
PDF
Word
Fill PDF Online
Fill out online for free
without registration or credit card
ADVERTISEMENT
Download Form DOT RW07-08 Summary of Outdoor Advertising Structures - California
4.6
of 5
(
24 votes
)
PDF
Word
Fill PDF Online
1
2
Prev
1
2
Next
ADVERTISEMENT
Linked Topics
California Department of Transportation
California Legal Forms
Legal
United States Legal Forms
Preview
Fill
PDF
Online
PDF
Word
Related Documents
DOT Form ODA0002 Outdoor Advertising (Oda) Display Permit Application - California
DOT Form ODA-0002 Outdoor Advertising (Oda) Display Permit Application - California
Form DOT RW07-12 Summary of Severance Damages and Benefits - California
Form DOT ODA-0002 Outdoor Advertising (Oda) Display Permit Application - California
Form DOT TR-0401 Kiosk Advertising/Display Agreement - California
Form DOT RW07-04 Parcel Summary Page - California
Form DOT RW07-25 Parcel Summary Page - Goodwill - California
Form DOT ADM-0006 Claim Summary (Under $10,000) - California
Form DOT RW07-09 Appraisal Summary - California
Form DOT ADM-4015 Certified Dvbe Summary - California
Form DOT RW07-22 Airspace Appraisal Summary - California
Form DOT ADM-4015 Attachment A Certified Dvbe Summary - California
Form DOT CEM-2035SW Stormwater Corrective Actions Summary - California
Form RW7-8 Summary of Outdoor Advertising Structures - California
Form RW07-08 Summary of Outdoor Advertising Structures - California
Form ODA-0002 Outdoor Advertising (Oda) Display Permit Application - California
Form ODA-0004 Outdoor Advertising Operator's License Application - California