Army
Business
Legal
Letters
Life
Real Estate
Tax
Wills
Blog
Upload
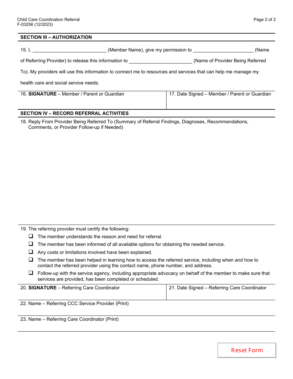
Form F-03256 Child Care Coordination Referral - Wisconsin
Fill
PDF
Online
PDF
Word
Army
Business
Legal
Letters
Life
Real Estate
Tax
Wills
Blog
Upload
Home
Legal
United States Legal Forms
Wisconsin Legal Forms
Wisconsin Department of Health Services
Form F-03256 Child Care Coordination Referral - Wisconsin
Form F-03256 Child Care Coordination Referral - Wisconsin
Preview
Fill
PDF
Online
PDF
Word
Fill PDF Online
Fill out online for free
without registration or credit card
ADVERTISEMENT
Download Form F-03256 Child Care Coordination Referral - Wisconsin
4.4
of 5
(
26 votes
)
PDF
Word
Fill PDF Online
1
2
Prev
1
2
Next
ADVERTISEMENT
Linked Topics
Wisconsin Department of Health Services
Wisconsin Legal Forms
Legal
United States Legal Forms
Preview
Fill
PDF
Online
PDF
Word
Related Documents
Child Care & Indian Child Care Worker Positions
Keep Kids Smiling: Promoting Oral Health Through the Medicaid Benefit for Children & Adolescents
Form F-03257 Child Care Coordination Monthly Time Log for Ongoing Care Coordination and Monitoring - Wisconsin
Form F-01118 Child Care Coordination Family Questionnaire - Wisconsin
IRS Form 2441 Child and Dependent Care Expenses, 2023
OPM Form 1644 Child Care Provider Information for Child Care Subsidy Program for Federal Employees
Form DCF-F-242 Child Record Checklist - Certified Child Care - Wisconsin
DA Form 5220-R Child Development Services (Cds) Family Child Care (FCC) Provider Background Clearance Request (LRA)
DA Form 5221-R Child Development Services (Cds) Family Child Care (FCC) Certification, Denial/Revocation (LRA)
DA Form 5763-r Child Development Services (Cds) Individual Education Plan (Iep) Family Child Care (FCC) Provisional Certification Training Record
Form DCF-F-DWSW13251 Child Enrollment and Health History - Certified Child Care - Wisconsin
Form F-01105 Prenatal Care Coordination Pregnancy Questionnaire - Wisconsin (Hmong)
Form F-01105 Prenatal Care Coordination Pregnancy Questionnaire - Wisconsin
Formulario DCF-F-CFS0061-S Admision Para Ninos Menores Que 2 Anos En Centros De Cuidado Infantil - Wisconsin (Spanish)
Meal Benefit Income Eligibility Form (Adult Care) - Child and Adult Care Food Program, 2019
Formulario F-10154 Declaracion De Identidad Para Ninos Menores De 18 Anos De Edad - Wisconsin (Spanish)
Form F-01238 Consent to Release Medical Information Referral to a Regional Center for Children and Youth With Special Health Care Needs (Cyshcn) - Wisconsin
Formulario DCF-F-CFS2099A-S Documentacion De La Residencia Del Nino Para Kinship Care - Wisconsin (Spanish)
Formulario DCF-F-DWSW13251-S Historial De Salud E Inscripcion Del Nino - Cuidado Infantil Certificado - Wisconsin (Spanish)