Army
Business
Legal
Letters
Life
Real Estate
Tax
Wills
Blog
Upload
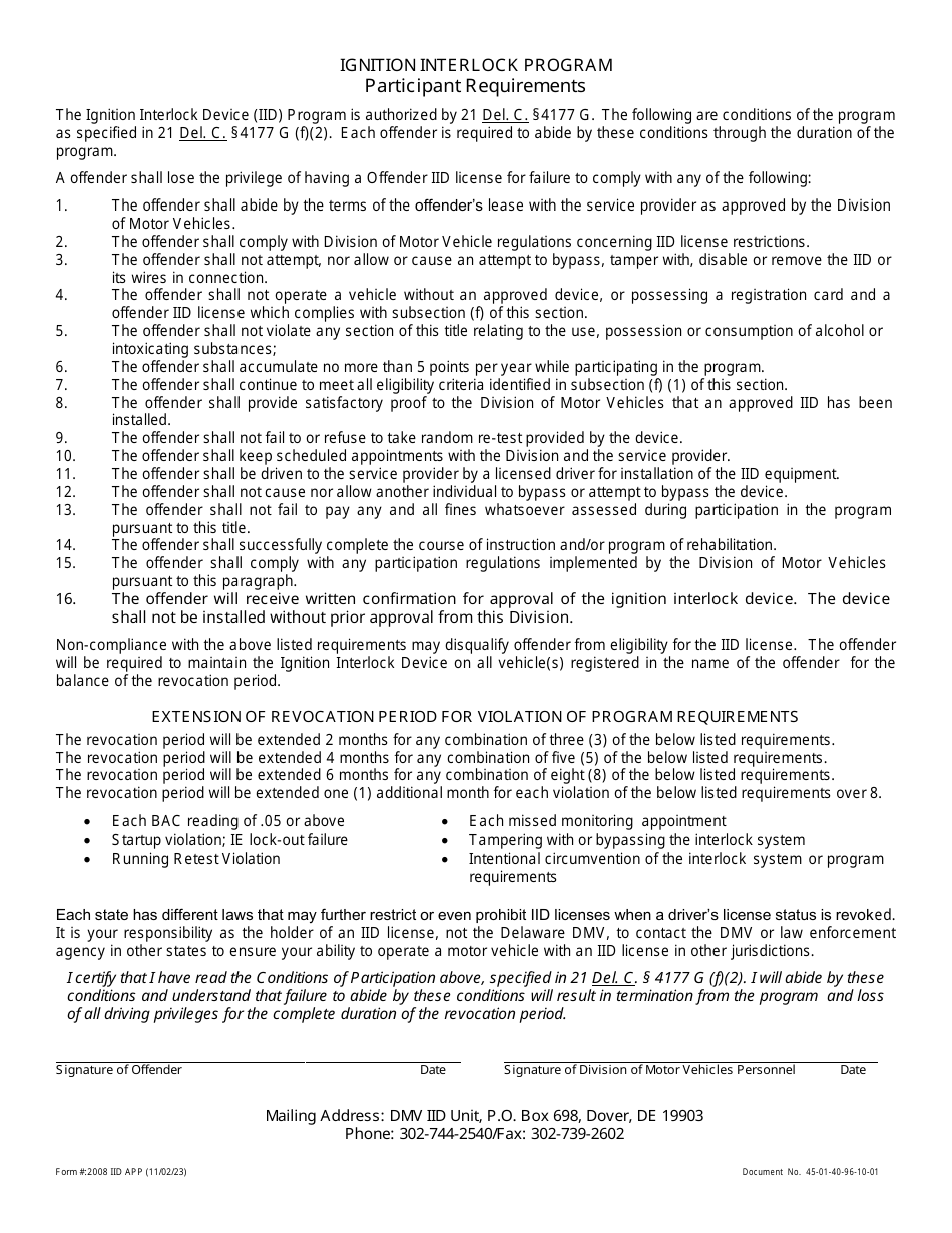
Form 2008 Interlock Program Application - Delaware
Fill
PDF
Online
PDF
Word
Army
Business
Legal
Letters
Life
Real Estate
Tax
Wills
Blog
Upload
Home
Legal
United States Legal Forms
Delaware Legal Forms
Delaware Department of Transportation
Form 2008 Interlock Program Application - Delaware
Form 2008 Interlock Program Application - Delaware
Preview
Fill
PDF
Online
PDF
Word
Fill PDF Online
Fill out online for free
without registration or credit card
ADVERTISEMENT
Download Form 2008 Interlock Program Application - Delaware
4.5
of 5
(
31 votes
)
PDF
Word
Fill PDF Online
1
2
Prev
1
2
Next
ADVERTISEMENT
Linked Topics
Delaware Department of Transportation
Delaware Legal Forms
Legal
United States Legal Forms
Preview
Fill
PDF
Online
PDF
Word
Related Documents
VA Form 10-0491G Application for Health Professional Scholarship Program (Hpsp), Visual Impairment and Orientation and Mobility Professionals Scholarship Program (Viompsp), &veterans Healing Veterans Medical Access and Education Scholarship Program (Vhvmaesp)
Form 2008 IID APP Interlock Program Application Form - Delaware
Form 2008 IID APP Interlock Program Application - Delaware
SBA Formulario 2483 Programa De Proteccion De Pago Formulario De Solicitud Del Prestatario (Spanish)
SBA Formulario 2483-SD Programa De Proteccion De Pago Formulario De Solicitud Del Segundo Prestamo Para Prestatarios (Spanish)
VA Form 10-10SH State Home Program Application for Veteran Care Medical Certification
Formulario HUD-52517-SPANISH Solicitud De Autorizacion Del Arrendamiento - Programa De Distribucion De Cupones Para Conseguir Vivienda (Spanish)
VA Form 10-0491A Addendum to Application
Form 2080DE New Economy Jobs Program Application - Delaware
Form NIH2705-1 Nih Transhare Program Application
Public Transportation Benefit Program Application - United States Air Force Outside the National Capital Region
GSA Form 3675 Transit Subsidy Program Application
GSA Form 3675A Transit Subsidy Program Application (Smartbenefits)
GSA Form 3695 GSA Mentor-Protege Program Application
AER Form 600V1 Commander's Referral Program - Application for Army Emergency Relief (AER) Financial Assistance
DD Form 2845 U.S. Department of Defense (National Capital Region) Mass Transportation Benefit Program Application
IRS Form 8653 Tax Counseling for the Elderly Program Application Plan
Food Safety Audit and Water Testing Cost-Share Program Application Form - Delaware
SBA Form 1010-ANC 8(A) Business Development (BD) Program Application Alaskan Native Corporation-Owned Concern
SBA Form 1010-CDC 8(A) Business Development (BD) Program Application Alaskan Native Corporation-Owned Concern