Felony Pc 1210.1 - Terms & Conditions of Probation - County of Kern, California

Felony Pc 1210.1 - Terms & Conditions of Probation - County of Kern, California

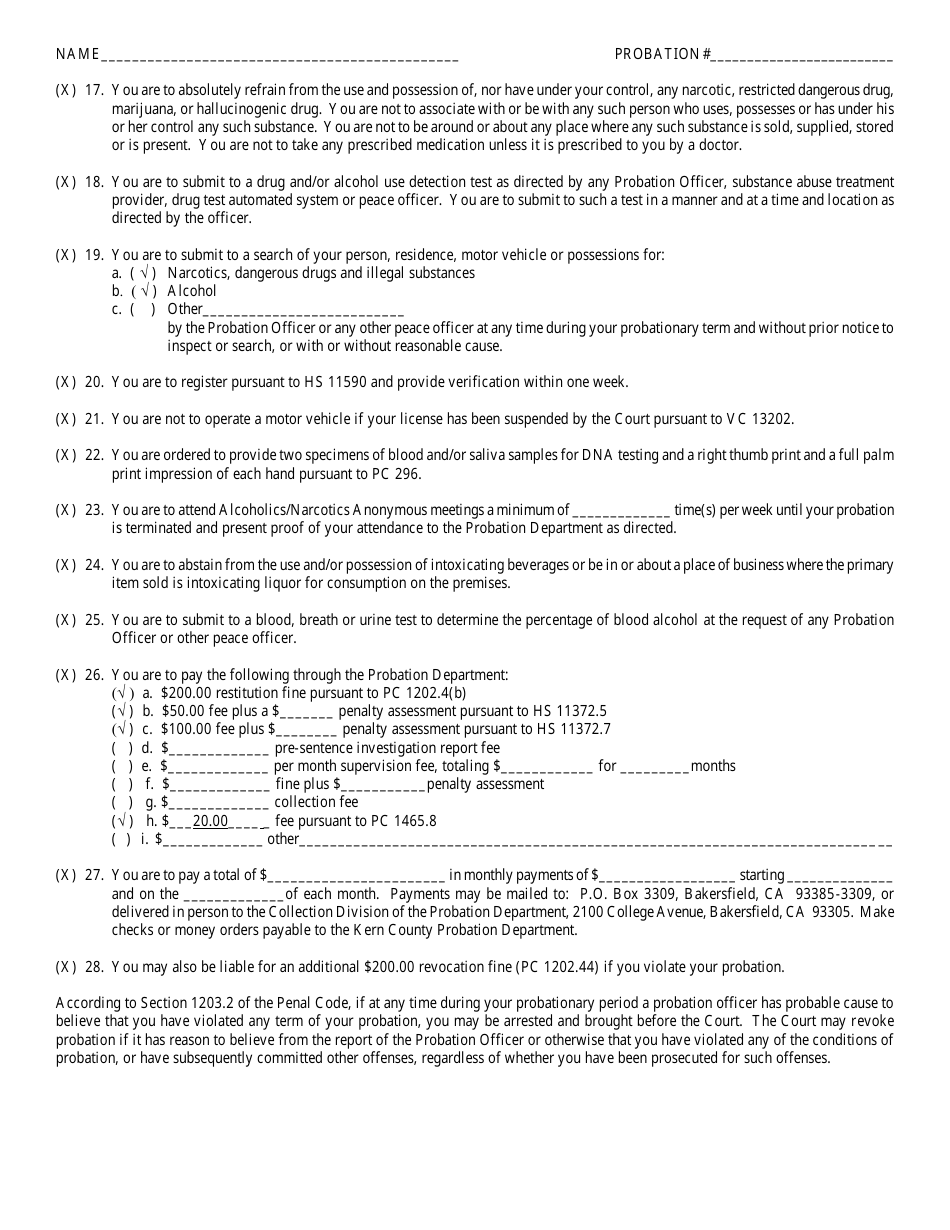
Felony Pc 1210.1 - Terms & Conditions of Probation is a legal document that was released by the Probation Department - Kern County, California - a government authority operating within California. The form may be used strictly within County of Kern.

FAQ

Q: What is Felony PC 1210.1?
A: Felony PC 1210.1 refers to a specific section of the California Penal Code governing the terms and conditions of probation for individuals convicted of certain non-violent drug offenses.

Q: What are the terms and conditions of probation under Felony PC 1210.1?
A: The specific terms and conditions of probation under Felony PC 1210.1 may vary depending on the individual case, but generally include requirements such as regular drug testing, completion of a drug treatment program, and avoiding further criminal activity.

Q: Which county does this document pertain to?
A: This document pertains to Kern County, California.

ADVERTISEMENT

Form Details:

  • The latest edition currently provided by the Probation Department - Kern County, California;
  • Ready to use and print;
  • Easy to customize;
  • Compatible with most PDF-viewing applications;
  • Fill out the form in our online filing application.

Download a printable version of the form by clicking the link below or browse more documents and templates provided by the Probation Department - Kern County, California.

Download Felony Pc 1210.1 - Terms & Conditions of Probation - County of Kern, California

4.8 of 5 (78 votes)
  • Felony Pc 1210.1 - Terms & Conditions of Probation - County of Kern, California

    1

  • Felony Pc 1210.1 - Terms & Conditions of Probation - County of Kern, California, Page 2

    2

  • Felony Pc 1210.1 - Terms & Conditions of Probation - County of Kern, California, Page 3

    3

  • Felony Pc 1210.1 - Terms  Conditions of Probation - County of Kern, California, Page 1
  • Felony Pc 1210.1 - Terms  Conditions of Probation - County of Kern, California, Page 2
  • Felony Pc 1210.1 - Terms  Conditions of Probation - County of Kern, California, Page 3
Prev 1 2 3 Next
ADVERTISEMENT