Client Tracking Sheet Template - Le Nu Spa

Client Tracking Sheet Template - Le Nu Spa

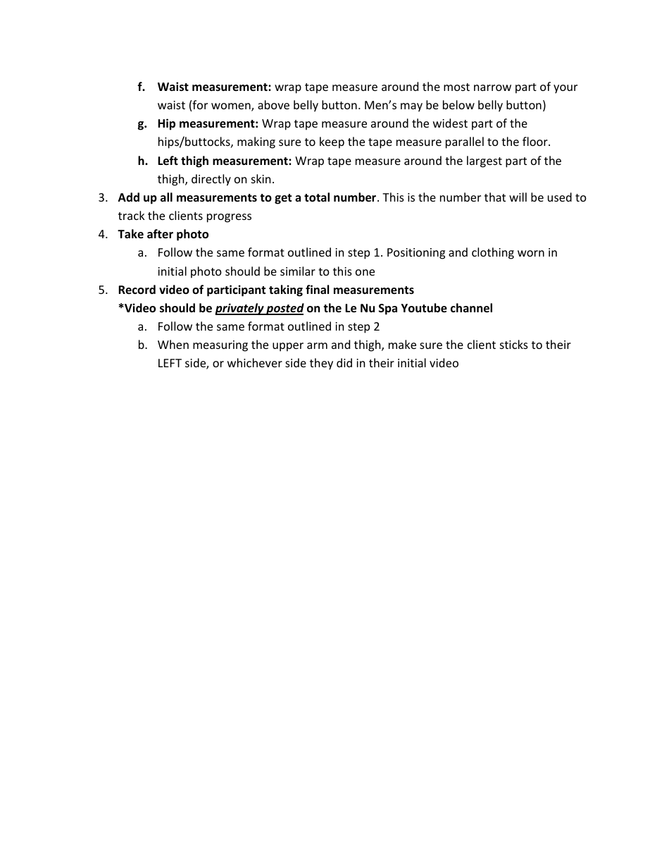
The Client Tracking Sheet Template - Le Nu Spa is used to keep track of client information, appointments, and services provided at the spa. It helps the spa staff to manage customer records and provide personalized services.

FAQ

Q: What is the Le Nu Spa?
A: Le Nu Spa is a spa located in the USA and Canada.

Q: What is a client tracking sheet?
A: A client tracking sheet is a template used to track information and details about clients.

Q: What is the purpose of using a client tracking sheet?
A: The purpose of using a client tracking sheet is to keep track of client information, appointments, and treatments.

Q: What information is typically recorded on a client tracking sheet?
A: Typically, a client's name, contact information, appointment history, and treatment preferences are recorded on a client tracking sheet.

Q: Why is it important to use a client tracking sheet?
A: Using a client tracking sheet is important to maintain accurate records, provide personalized services, and track client history for future reference.

Q: Is the client tracking sheet template specific to Le Nu Spa?
A: No, the client tracking sheet template can be used by any spa or similar business to track client information.

Q: Are there any features or sections in the client tracking sheet template?
A: The client tracking sheet template may have sections for client details, appointment history, treatment records, and notes.

ADVERTISEMENT

Download Client Tracking Sheet Template - Le Nu Spa

4.8 of 5 (16 votes)
  • Client Tracking Sheet Template - Le Nu Spa

    1

  • Client Tracking Sheet Template - Le Nu Spa, Page 2

    2

  • Client Tracking Sheet Template - Le Nu Spa, Page 3

    3

  • Client Tracking Sheet Template - Le Nu Spa
  • Client Tracking Sheet Template - Le Nu Spa, Page 2
  • Client Tracking Sheet Template - Le Nu Spa, Page 3
Prev 1 2 3 Next
ADVERTISEMENT