Form HCS281 Application Instructions for a Home Care Organization License - California

Notification Icon This version of the form is not currently in use and is provided for reference only. Download this version of Form HCS281 for the current year.

Form HCS281 Application Instructions for a Home Care Organization License - California

What Is Form HCS281?

This is a legal form that was released by the California Department of Social Services - a government authority operating within California. As of today, no separate filing guidelines for the form are provided by the issuing department.

FAQ

Q: What is Form HCS281?
A: Form HCS281 is a set of application instructions for obtaining a Home Care Organization License in California.

Q: What is a Home Care Organization License?
A: A Home Care Organization License is a license required to operate a home care organization in California.

Q: Who needs to fill out Form HCS281?
A: Anyone who wants to apply for a Home Care Organization License in California needs to fill out Form HCS281.

Q: What information is required on Form HCS281?
A: Form HCS281 requires information such as the name and address of the applicant, the organization's structure, and documentation of compliance with state laws and regulations.

Q: How long does it take to process the application for a Home Care Organization License?
A: The processing time for a Home Care Organization License application can vary. It is recommended to allow several months for processing.

Q: Can I operate a home care organization without a license in California?
A: No, it is illegal to operate a home care organization in California without a valid license.

Q: Are there any additional requirements to obtain a Home Care Organization License?
A: Yes, there are additional requirements for obtaining a Home Care Organization License. These may include background checks, training programs, and compliance with specific regulations.

Q: What happens after submitting Form HCS281?
A: After submitting Form HCS281, the application will be reviewed by the California Department of Public Health. If approved, a Home Care Organization License will be issued.

ADVERTISEMENT

Form Details:

  • Released on August 1, 2015;
  • The latest edition provided by the California Department of Social Services;
  • Easy to use and ready to print;
  • Quick to customize;
  • Compatible with most PDF-viewing applications;
  • Fill out the form in our online filing application.

Download a printable version of Form HCS281 by clicking the link below or browse more documents and templates provided by the California Department of Social Services.

Download Form HCS281 Application Instructions for a Home Care Organization License - California

4.8 of 5 (30 votes)
  • Form HCS281 Application Instructions for a Home Care Organization License - California

    1

  • Form HCS281 Application Instructions for a Home Care Organization License - California, Page 2

    2

  • Form HCS281 Application Instructions for a Home Care Organization License - California, Page 3

    3

  • Form HCS281 Application Instructions for a Home Care Organization License - California, Page 4

    4

  • Form HCS281 Application Instructions for a Home Care Organization License - California, Page 5

    5

  • Form HCS281 Application Instructions for a Home Care Organization License - California, Page 6

    6

  • Form HCS281 Application Instructions for a Home Care Organization License - California, Page 7

    7

  • Form HCS281 Application Instructions for a Home Care Organization License - California, Page 8

    8

  • Form HCS281 Application Instructions for a Home Care Organization License - California, Page 9

    9

  • Form HCS281 Application Instructions for a Home Care Organization License - California, Page 10

    10

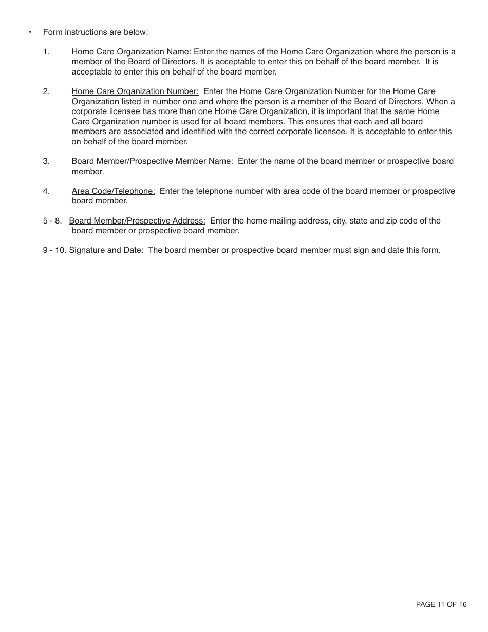
  • Form HCS281 Application Instructions for a Home Care Organization License - California, Page 11

    11

  • Form HCS281 Application Instructions for a Home Care Organization License - California, Page 12

    12

  • Form HCS281 Application Instructions for a Home Care Organization License - California, Page 13

    13

  • Form HCS281 Application Instructions for a Home Care Organization License - California, Page 14

    14

  • Form HCS281 Application Instructions for a Home Care Organization License - California, Page 15

    15

  • Form HCS281 Application Instructions for a Home Care Organization License - California, Page 16

    16

  • Form HCS281 Application Instructions for a Home Care Organization License - California, Page 1
  • Form HCS281 Application Instructions for a Home Care Organization License - California, Page 2
  • Form HCS281 Application Instructions for a Home Care Organization License - California, Page 3
  • Form HCS281 Application Instructions for a Home Care Organization License - California, Page 4
  • Form HCS281 Application Instructions for a Home Care Organization License - California, Page 5
  • Form HCS281 Application Instructions for a Home Care Organization License - California, Page 6
  • Form HCS281 Application Instructions for a Home Care Organization License - California, Page 7
  • Form HCS281 Application Instructions for a Home Care Organization License - California, Page 8
  • Form HCS281 Application Instructions for a Home Care Organization License - California, Page 9
  • Form HCS281 Application Instructions for a Home Care Organization License - California, Page 10
  • Form HCS281 Application Instructions for a Home Care Organization License - California, Page 11
  • Form HCS281 Application Instructions for a Home Care Organization License - California, Page 12
  • Form HCS281 Application Instructions for a Home Care Organization License - California, Page 13
  • Form HCS281 Application Instructions for a Home Care Organization License - California, Page 14
  • Form HCS281 Application Instructions for a Home Care Organization License - California, Page 15
  • Form HCS281 Application Instructions for a Home Care Organization License - California, Page 16
Prev 1 2 3 4 5 ... 16 Next
ADVERTISEMENT

Related Documents