Form V.S.S. Property Tax Deduction Claim by Veteran or Surviving Spouse / Civil Union or Domestic Partner of Veteran or Serviceperson - New Jersey

Notification Icon This version of the form is not currently in use and is provided for reference only. Download this version of Form V.S.S. for the current year.

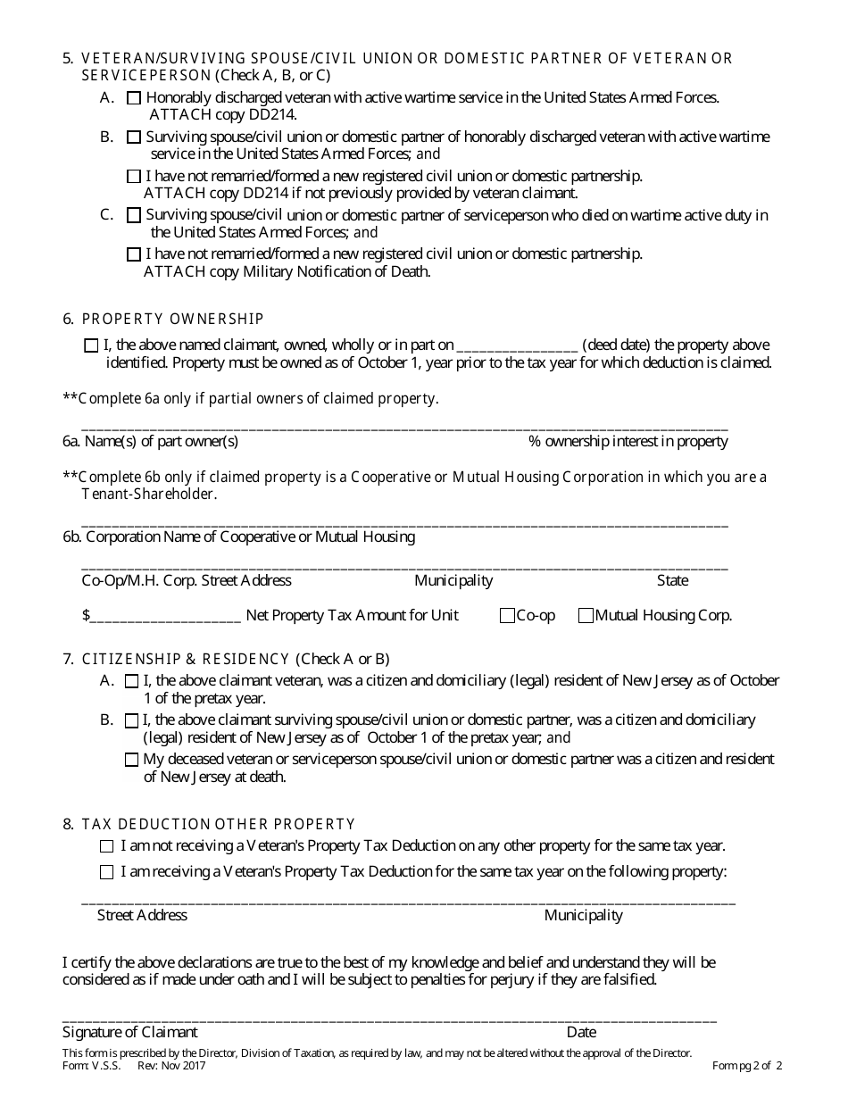
Form V.S.S. Property Tax Deduction Claim by Veteran or Surviving Spouse / Civil Union or Domestic Partner of Veteran or Serviceperson - New Jersey

What Is Form V.S.S.?

This is a legal form that was released by the New Jersey Department of the Treasury - a government authority operating within New Jersey. As of today, no separate filing guidelines for the form are provided by the issuing department.

FAQ

Q: What is the V.S.S. Property Tax Deduction Claim?
A: The V.S.S. Property Tax Deduction Claim is a program in New Jersey that provides property tax relief for eligible veterans or surviving spouses/civil union or domestic partners of veterans or servicepersons.

Q: Who is eligible for the V.S.S. Property Tax Deduction Claim?
A: Eligible individuals include veterans who served in the military and were honorably discharged, surviving spouses/civil union or domestic partners of veterans or servicepersons who died while on active duty or as a result of their military service, and surviving spouses/civil union or domestic partners of veterans who were receiving the deduction at the time of their death.

Q: How does the V.S.S. Property Tax Deduction Claim work?
A: The V.S.S. Property Tax Deduction Claim provides a deduction on the property taxes for eligible individuals. The deduction amount varies each year and is determined by the New Jersey Legislature. It is subtracted from the individual's property tax bill.

Q: How can I apply for the V.S.S. Property Tax Deduction Claim?
A: To apply, you must complete and submit the V.S.S. Property Tax Deduction Claim form to the municipal tax assessor in your town or city. The form requires information about your military service and your property.

Q: Is there an income limit to qualify for the V.S.S. Property Tax Deduction Claim?
A: Yes, there is an income limit to qualify for the V.S.S. Property Tax Deduction Claim. The income limit is set each year by the New Jersey Legislature.

Q: What documents are required to apply for the V.S.S. Property Tax Deduction Claim?
A: The documents required may vary, but generally you will need to provide proof of military service, such as your DD-214 form, as well as proof of ownership or occupancy of the property for which you are seeking the deduction.

Q: Can I receive the V.S.S. Property Tax Deduction Claim if I am receiving other property tax benefits?
A: No, you cannot receive the V.S.S. Property Tax Deduction Claim if you are already receiving another property tax deduction or exemption on the same property.

Q: Are surviving spouses/civil union or domestic partners of veterans eligible if the veteran was not receiving the deduction at the time of their death?
A: Surviving spouses/civil union or domestic partners of veterans are only eligible for the V.S.S. Property Tax Deduction Claim if the veteran was receiving the deduction at the time of their death.

ADVERTISEMENT

Form Details:

  • Released on November 1, 2017;
  • The latest edition provided by the New Jersey Department of the Treasury;
  • Easy to use and ready to print;
  • Quick to customize;
  • Compatible with most PDF-viewing applications;
  • Fill out the form in our online filing application.

Download a fillable version of Form V.S.S. by clicking the link below or browse more documents and templates provided by the New Jersey Department of the Treasury.

Download Form V.S.S. Property Tax Deduction Claim by Veteran or Surviving Spouse / Civil Union or Domestic Partner of Veteran or Serviceperson - New Jersey

4.6 of 5 (86 votes)
  • Form V.S.S. Property Tax Deduction Claim by Veteran or Surviving Spouse/Civil Union or Domestic Partner of Veteran or Serviceperson - New Jersey

    1

  • Form V.S.S. Property Tax Deduction Claim by Veteran or Surviving Spouse/Civil Union or Domestic Partner of Veteran or Serviceperson - New Jersey, Page 2

    2

  • Form V.S.S. Property Tax Deduction Claim by Veteran or Surviving Spouse/Civil Union or Domestic Partner of Veteran or Serviceperson - New Jersey, Page 3

    3

  • Form V.S.S. Property Tax Deduction Claim by Veteran or Surviving Spouse/Civil Union or Domestic Partner of Veteran or Serviceperson - New Jersey, Page 4

    4

  • Form V.S.S. Property Tax Deduction Claim by Veteran or Surviving Spouse / Civil Union or Domestic Partner of Veteran or Serviceperson - New Jersey, Page 1
  • Form V.S.S. Property Tax Deduction Claim by Veteran or Surviving Spouse / Civil Union or Domestic Partner of Veteran or Serviceperson - New Jersey, Page 2
  • Form V.S.S. Property Tax Deduction Claim by Veteran or Surviving Spouse / Civil Union or Domestic Partner of Veteran or Serviceperson - New Jersey, Page 3
  • Form V.S.S. Property Tax Deduction Claim by Veteran or Surviving Spouse / Civil Union or Domestic Partner of Veteran or Serviceperson - New Jersey, Page 4
Prev 1 2 3 4 Next
ADVERTISEMENT

Related Documents