Form FL-200 Petition to Establish Parental Relationship - California

Notification Icon This version of the form is not currently in use and is provided for reference only. Download this version of Form FL-200 for the current year.

Form FL-200 Petition to Establish Parental Relationship - California

What Is Form FL-200?

This is a legal form that was released by the California Superior Court - a government authority operating within California. As of today, no separate filing guidelines for the form are provided by the issuing department.

FAQ

Q: What is Form FL-200?
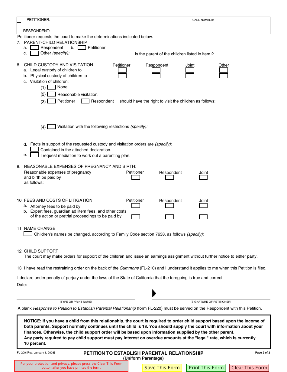
A: Form FL-200 is the Petition to Establish Parental Relationship in California.

Q: What is the purpose of Form FL-200?
A: The purpose of Form FL-200 is to request the court to establish a legal parent-child relationship.

Q: Who can file Form FL-200?
A: Either parent, or both parents together, can file Form FL-200 to establish a parental relationship.

Q: What information is required in Form FL-200?
A: Form FL-200 requires information about the child, the parents, and the reasons for establishing the parental relationship.

Q: Is there a fee to file Form FL-200?
A: Yes, there is a filing fee to submit Form FL-200. The fee amount may vary depending on the county.

Q: What happens after submitting Form FL-200?
A: After submitting Form FL-200, the court will review the petition and may schedule a hearing to determine the parent-child relationship.

Q: Do I need a lawyer to fill out Form FL-200?
A: You are not required to have a lawyer to fill out Form FL-200. However, it may be helpful to seek legal advice, especially if there are complex issues involved.

Q: Can I make changes to Form FL-200 after submitting it?
A: If you need to make changes to Form FL-200 after submitting it, you may need to file an amended petition or seek guidance from the court clerk.

ADVERTISEMENT

Form Details:

  • Released on January 1, 2003;
  • The latest edition provided by the California Superior Court;
  • Easy to use and ready to print;
  • Available in Spanish;
  • Quick to customize;
  • Compatible with most PDF-viewing applications;
  • Fill out the form in our online filing application.

Download a fillable version of Form FL-200 by clicking the link below or browse more documents and templates provided by the California Superior Court.

Download Form FL-200 Petition to Establish Parental Relationship - California

4.3 of 5 (71 votes)
  • Form FL-200 Petition to Establish Parental Relationship - California

    1

  • Form FL-200 Petition to Establish Parental Relationship - California, Page 2

    2

  • Form FL-200 Petition to Establish Parental Relationship - California, Page 1
  • Form FL-200 Petition to Establish Parental Relationship - California, Page 2
Prev 1 2 Next
ADVERTISEMENT

Related Documents