ADEM Form 327 Application for a Permit for the Construction of a Motel, Hotel, or Other Multi-Unit Development on a Property Intersected by the Construction Control Line in the Alabama Coastal Area - Alabama

ADEM Form 327 Application for a Permit for the Construction of a Motel, Hotel, or Other Multi-Unit Development on a Property Intersected by the Construction Control Line in the Alabama Coastal Area - Alabama

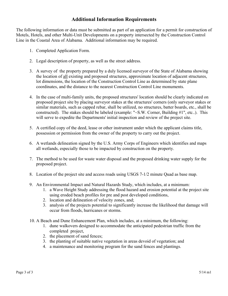
What Is ADEM Form 327?

This is a legal form that was released by the Alabama Department of Environmental Management - a government authority operating within Alabama. As of today, no separate filing guidelines for the form are provided by the issuing department.

FAQ

Q: What is ADEM Form 327?
A: ADEM Form 327 is an application for a permit for the construction of a motel, hotel, or other multi-unit development on a property intersected by the Construction Control Line in the Alabama Coastal Area.

Q: Who needs to fill out ADEM Form 327?
A: Anyone planning to construct a motel, hotel, or other multi-unit development on a property intersected by the Construction Control Line in the Alabama Coastal Area needs to fill out ADEM Form 327.

Q: What is the purpose of ADEM Form 327?
A: The purpose of ADEM Form 327 is to apply for a permit for the construction of a motel, hotel, or other multi-unit development on a property intersected by the Construction Control Line in the Alabama Coastal Area.

Q: Are there any fees associated with ADEM Form 327?
A: Yes, there are fees associated with ADEM Form 327. The exact fees will be specified in the application form or by the Alabama Department of Environmental Management (ADEM).

Q: What is the Construction Control Line?
A: The Construction Control Line is a line established by the Alabama Department of Environmental Management (ADEM) that marks the boundary of the Alabama Coastal Area where special regulations apply to construction and development.

Q: What types of developments require a permit on a property intersected by the Construction Control Line?
A: Developments such as motels, hotels, and other multi-unit developments require a permit on a property intersected by the Construction Control Line.

Q: Why are there special regulations for construction and development in the Alabama Coastal Area?
A: Special regulations are in place in the Alabama Coastal Area to protect the environment and coastal resources.

Q: Who regulates construction and development in the Alabama Coastal Area?
A: The Alabama Department of Environmental Management (ADEM) regulates construction and development in the Alabama Coastal Area.

Q: What should I do if I have questions about filling out ADEM Form 327?
A: If you have questions about filling out ADEM Form 327, you should contact the Alabama Department of Environmental Management (ADEM) for assistance.

ADVERTISEMENT

Form Details:

  • Released on May 1, 2014;
  • The latest edition provided by the Alabama Department of Environmental Management;
  • Easy to use and ready to print;
  • Quick to customize;
  • Compatible with most PDF-viewing applications;
  • Fill out the form in our online filing application.

Download a fillable version of ADEM Form 327 by clicking the link below or browse more documents and templates provided by the Alabama Department of Environmental Management.

Download ADEM Form 327 Application for a Permit for the Construction of a Motel, Hotel, or Other Multi-Unit Development on a Property Intersected by the Construction Control Line in the Alabama Coastal Area - Alabama

4.3 of 5 (58 votes)
  • ADEM Form 327 Application for a Permit for the Construction of a Motel, Hotel, or Other Multi-Unit Development on a Property Intersected by the Construction Control Line in the Alabama Coastal Area - Alabama

    1

  • ADEM Form 327 Application for a Permit for the Construction of a Motel, Hotel, or Other Multi-Unit Development on a Property Intersected by the Construction Control Line in the Alabama Coastal Area - Alabama, Page 2

    2

  • ADEM Form 327 Application for a Permit for the Construction of a Motel, Hotel, or Other Multi-Unit Development on a Property Intersected by the Construction Control Line in the Alabama Coastal Area - Alabama, Page 3

    3

  • ADEM Form 327 Application for a Permit for the Construction of a Motel, Hotel, or Other Multi-Unit Development on a Property Intersected by the Construction Control Line in the Alabama Coastal Area - Alabama, Page 1
  • ADEM Form 327 Application for a Permit for the Construction of a Motel, Hotel, or Other Multi-Unit Development on a Property Intersected by the Construction Control Line in the Alabama Coastal Area - Alabama, Page 2
  • ADEM Form 327 Application for a Permit for the Construction of a Motel, Hotel, or Other Multi-Unit Development on a Property Intersected by the Construction Control Line in the Alabama Coastal Area - Alabama, Page 3
Prev 1 2 3 Next
ADVERTISEMENT

Related Documents