ADEM Form 328 Application for a Permit for the Construction of Single Family Dwellings, Duplexes, or Other Similar Structures on Properties Intersected by the Construction Control Line in the Alabama Coastal Area - Alabama

ADEM Form 328 Application for a Permit for the Construction of Single Family Dwellings, Duplexes, or Other Similar Structures on Properties Intersected by the Construction Control Line in the Alabama Coastal Area - Alabama

What Is ADEM Form 328?

This is a legal form that was released by the Alabama Department of Environmental Management - a government authority operating within Alabama. As of today, no separate filing guidelines for the form are provided by the issuing department.

FAQ

Q: What is ADEM Form 328?
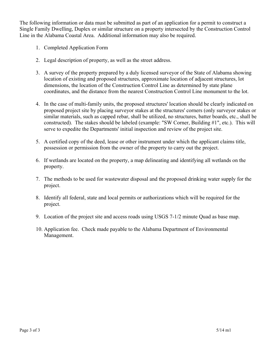
A: ADEM Form 328 is an application form for a permit to construct single family dwellings, duplexes, or similar structures on properties intersected by the Construction Control Line in the Alabama Coastal Area.

Q: Who needs to fill out ADEM Form 328?
A: Anyone who wants to construct single family dwellings, duplexes, or similar structures on properties intersected by the Construction Control Line in the Alabama Coastal Area needs to fill out ADEM Form 328.

Q: What is the purpose of ADEM Form 328?
A: The purpose of ADEM Form 328 is to apply for a permit to construct single family dwellings, duplexes, or similar structures in the Alabama Coastal Area.

Q: Are there any fees associated with filing ADEM Form 328?
A: Yes, there are fees associated with filing ADEM Form 328. The fee amount may vary and should be confirmed with the Alabama Department of Environmental Management (ADEM).

Q: What information is required on ADEM Form 328?
A: ADEM Form 328 requires information such as project details, property owner information, construction plans, and documentation related to the Construction Control Line in the Alabama Coastal Area.

Q: How long does it take to process ADEM Form 328?
A: The processing time for ADEM Form 328 may vary. It is recommended to contact the Alabama Department of Environmental Management (ADEM) for current processing times.

Q: Is there a deadline for submitting ADEM Form 328?
A: There may be deadlines for submitting ADEM Form 328, depending on the specific project and requirements. It is important to check with the Alabama Department of Environmental Management (ADEM) for any applicable deadlines.

ADVERTISEMENT

Form Details:

  • Released on May 1, 2014;
  • The latest edition provided by the Alabama Department of Environmental Management;
  • Easy to use and ready to print;
  • Quick to customize;
  • Compatible with most PDF-viewing applications;
  • Fill out the form in our online filing application.

Download a fillable version of ADEM Form 328 by clicking the link below or browse more documents and templates provided by the Alabama Department of Environmental Management.

Download ADEM Form 328 Application for a Permit for the Construction of Single Family Dwellings, Duplexes, or Other Similar Structures on Properties Intersected by the Construction Control Line in the Alabama Coastal Area - Alabama

4.4 of 5 (67 votes)
  • ADEM Form 328 Application for a Permit for the Construction of Single Family Dwellings, Duplexes, or Other Similar Structures on Properties Intersected by the Construction Control Line in the Alabama Coastal Area - Alabama

    1

  • ADEM Form 328 Application for a Permit for the Construction of Single Family Dwellings, Duplexes, or Other Similar Structures on Properties Intersected by the Construction Control Line in the Alabama Coastal Area - Alabama, Page 2

    2

  • ADEM Form 328 Application for a Permit for the Construction of Single Family Dwellings, Duplexes, or Other Similar Structures on Properties Intersected by the Construction Control Line in the Alabama Coastal Area - Alabama, Page 3

    3

  • ADEM Form 328 Application for a Permit for the Construction of Single Family Dwellings, Duplexes, or Other Similar Structures on Properties Intersected by the Construction Control Line in the Alabama Coastal Area - Alabama, Page 1
  • ADEM Form 328 Application for a Permit for the Construction of Single Family Dwellings, Duplexes, or Other Similar Structures on Properties Intersected by the Construction Control Line in the Alabama Coastal Area - Alabama, Page 2
  • ADEM Form 328 Application for a Permit for the Construction of Single Family Dwellings, Duplexes, or Other Similar Structures on Properties Intersected by the Construction Control Line in the Alabama Coastal Area - Alabama, Page 3
Prev 1 2 3 Next
ADVERTISEMENT

Related Documents