Form DBPR LA5 Application for Individual Licensure: Reinstate Null and Void License - Florida

Form DBPR LA5 Application for Individual Licensure: Reinstate Null and Void License - Florida

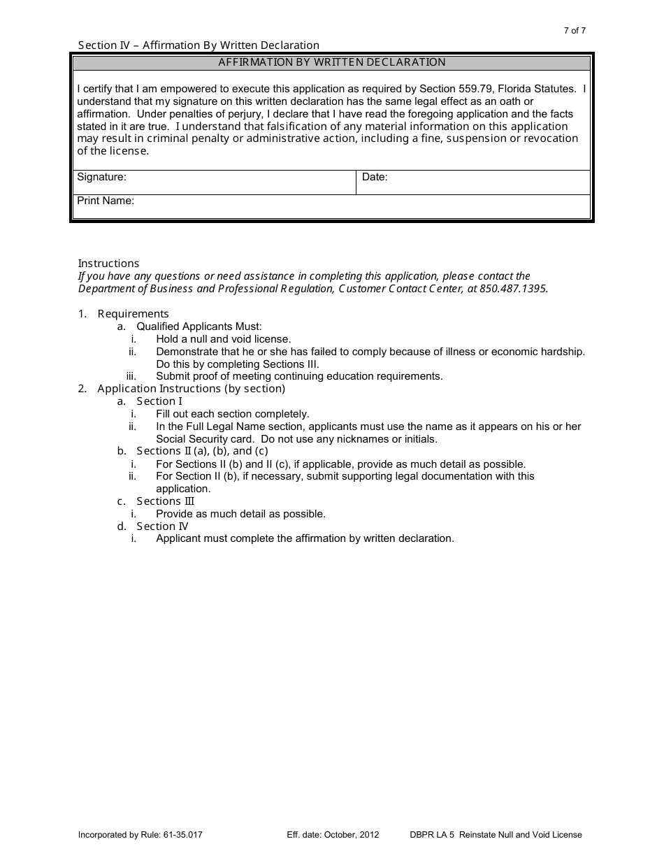
What Is Form DBPR LA5?

This is a legal form that was released by the Florida Department of Business & Professional Regulation - a government authority operating within Florida. As of today, no separate filing guidelines for the form are provided by the issuing department.

FAQ

Q: What is a DBPR LA5 application?
A: DBPR LA5 application is a form used to reinstate a null and void license in the state of Florida.

Q: What does it mean for a license to be null and void?
A: A null and void license means that the license has expired or been revoked and is no longer valid.

Q: Who can use the DBPR LA5 application?
A: Individuals in Florida with a null and void license can use the DBPR LA5 application to reinstate their license.

Q: How do I fill out the DBPR LA5 application?
A: You need to provide personal information, details about your license, and any supporting documentation required by the application.

Q: What is the purpose of reinstating a null and void license?
A: Reinstating a null and void license allows individuals to regain their professional licensing status and resume their work or business activities.

ADVERTISEMENT

Form Details:

  • Released on October 1, 2012;
  • The latest edition provided by the Florida Department of Business & Professional Regulation;
  • Easy to use and ready to print;
  • Quick to customize;
  • Compatible with most PDF-viewing applications;
  • Fill out the form in our online filing application.

Download a printable version of Form DBPR LA5 by clicking the link below or browse more documents and templates provided by the Florida Department of Business & Professional Regulation.

Download Form DBPR LA5 Application for Individual Licensure: Reinstate Null and Void License - Florida

4.7 of 5 (75 votes)
  • Form DBPR LA5 Application for Individual Licensure: Reinstate Null and Void License - Florida

    1

  • Form DBPR LA5 Application for Individual Licensure: Reinstate Null and Void License - Florida, Page 2

    2

  • Form DBPR LA5 Application for Individual Licensure: Reinstate Null and Void License - Florida, Page 3

    3

  • Form DBPR LA5 Application for Individual Licensure: Reinstate Null and Void License - Florida, Page 4

    4

  • Form DBPR LA5 Application for Individual Licensure: Reinstate Null and Void License - Florida, Page 5

    5

  • Form DBPR LA5 Application for Individual Licensure: Reinstate Null and Void License - Florida, Page 6

    6

  • Form DBPR LA5 Application for Individual Licensure: Reinstate Null and Void License - Florida, Page 7

    7

  • Form DBPR LA5 Application for Individual Licensure: Reinstate Null and Void License - Florida, Page 1
  • Form DBPR LA5 Application for Individual Licensure: Reinstate Null and Void License - Florida, Page 2
  • Form DBPR LA5 Application for Individual Licensure: Reinstate Null and Void License - Florida, Page 3
  • Form DBPR LA5 Application for Individual Licensure: Reinstate Null and Void License - Florida, Page 4
  • Form DBPR LA5 Application for Individual Licensure: Reinstate Null and Void License - Florida, Page 5
  • Form DBPR LA5 Application for Individual Licensure: Reinstate Null and Void License - Florida, Page 6
  • Form DBPR LA5 Application for Individual Licensure: Reinstate Null and Void License - Florida, Page 7
Prev 1 2 3 4 5 ... 7 Next
ADVERTISEMENT

Related Documents