Form DBPR BAR6 Application for License From Null and Void (Expired License) - Florida

Form DBPR BAR6 Application for License From Null and Void (Expired License) - Florida

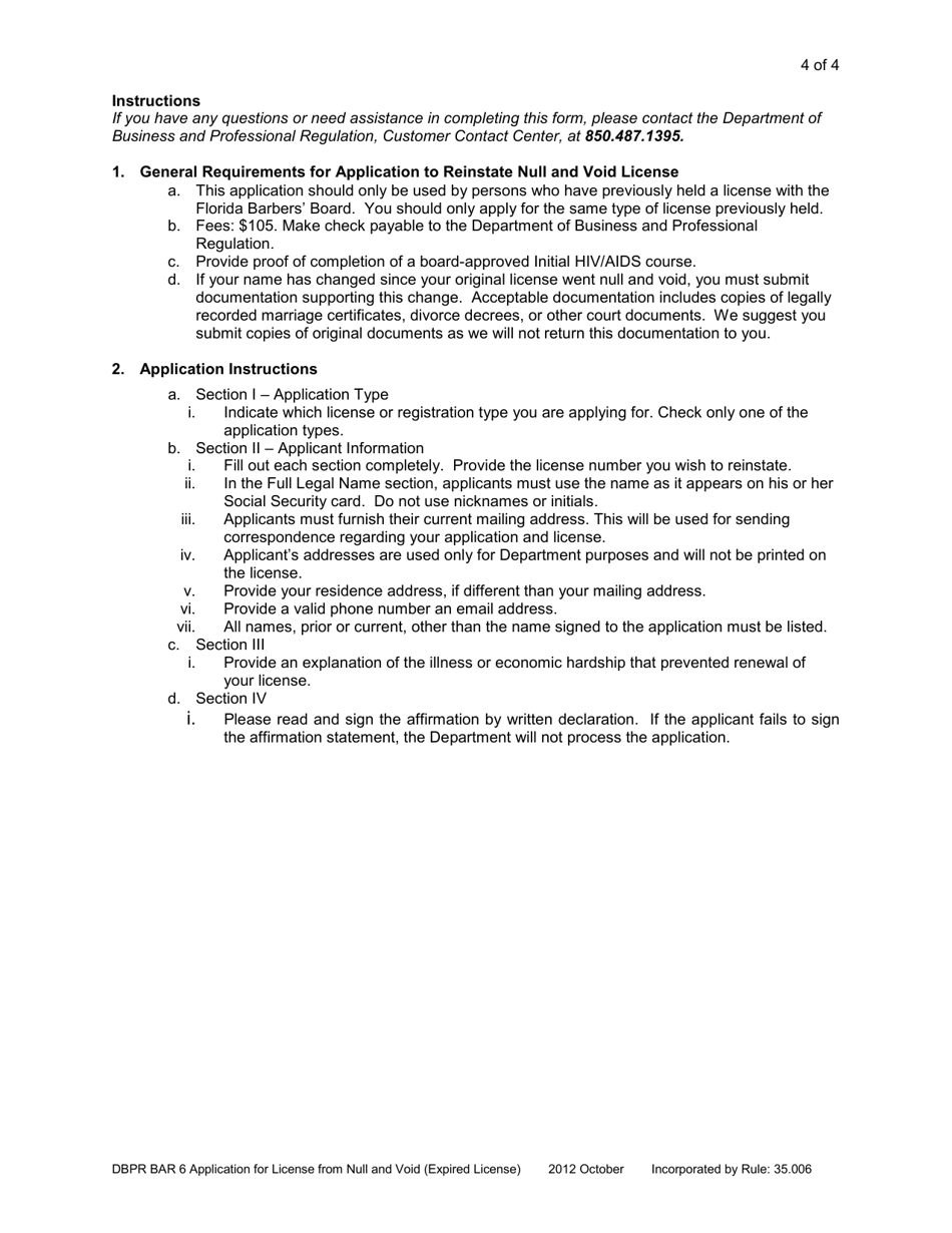
What Is Form DBPR BAR6?

This is a legal form that was released by the Florida Department of Business & Professional Regulation - a government authority operating within Florida. As of today, no separate filing guidelines for the form are provided by the issuing department.

FAQ

Q: What is the DBPR BAR6 Application?
A: The DBPR BAR6 Application is a form used in Florida to apply for a license that has become null and void (expired).

Q: Why would a license become null and void (expired)?
A: A license can become null and void (expired) if certain conditions are not met, such as failing to renew it on time or not complying with licensing requirements.

Q: How do I fill out the DBPR BAR6 Application?
A: You need to provide your personal information, license details, and any supporting documents requested on the form. Make sure to follow the instructions carefully.

Q: Are there any fees associated with the DBPR BAR6 Application?
A: Yes, there are fees involved. The specific fees and payment methods are outlined in the instructions provided with the application.

Q: What happens after I submit the DBPR BAR6 Application?
A: Once your application is submitted, it will be reviewed by the Florida Department of Business and Professional Regulation. They will determine whether you meet the requirements for reinstating your license.

Q: How long does it take to process the DBPR BAR6 Application?
A: The processing time can vary, but it typically takes several weeks. It is advisable to submit your application well in advance to allow for any potential delays.

Q: Can I continue working while my license application is being processed?
A: It is essential to check with the Florida Department of Business and Professional Regulation regarding the specific rules and restrictions for working with an expired license.

Q: What if my DBPR BAR6 Application is denied?
A: If your application is denied, you will receive notification from the Florida Department of Business and Professional Regulation. The notification will explain the reason for the denial and provide information on any possible appeals or next steps.

Q: Can I appeal if my DBPR BAR6 Application is denied?
A: Yes, you can appeal a denial decision. The Florida Department of Business and Professional Regulation will provide instructions on how to proceed with the appeals process if you wish to challenge the decision.

ADVERTISEMENT

Form Details:

  • Released on October 1, 2012;
  • The latest edition provided by the Florida Department of Business & Professional Regulation;
  • Easy to use and ready to print;
  • Quick to customize;
  • Compatible with most PDF-viewing applications;
  • Fill out the form in our online filing application.

Download a printable version of Form DBPR BAR6 by clicking the link below or browse more documents and templates provided by the Florida Department of Business & Professional Regulation.

Download Form DBPR BAR6 Application for License From Null and Void (Expired License) - Florida

4.3 of 5 (26 votes)
  • Form DBPR BAR6 Application for License From Null and Void (Expired License) - Florida

    1

  • Form DBPR BAR6 Application for License From Null and Void (Expired License) - Florida, Page 2

    2

  • Form DBPR BAR6 Application for License From Null and Void (Expired License) - Florida, Page 3

    3

  • Form DBPR BAR6 Application for License From Null and Void (Expired License) - Florida, Page 4

    4

  • Form DBPR BAR6 Application for License From Null and Void (Expired License) - Florida, Page 1
  • Form DBPR BAR6 Application for License From Null and Void (Expired License) - Florida, Page 2
  • Form DBPR BAR6 Application for License From Null and Void (Expired License) - Florida, Page 3
  • Form DBPR BAR6 Application for License From Null and Void (Expired License) - Florida, Page 4
Prev 1 2 3 4 Next
ADVERTISEMENT

Related Documents