Form 607 (L-4022) Report of Assessment Roll Changes and Classification - Michigan

Notification Icon This version of the form is not currently in use and is provided for reference only. Download this version of Form 607 (L-4022) for the current year.

Form 607 (L-4022) Report of Assessment Roll Changes and Classification - Michigan

What Is Form 607 (L-4022)?

This is a legal form that was released by the Michigan Department of Treasury - a government authority operating within Michigan. As of today, no separate filing guidelines for the form are provided by the issuing department.

FAQ

Q: What is Form 607 (L-4022)?
A: Form 607 (L-4022) is a report used in Michigan to document assessment roll changes and classification updates.

Q: Who needs to file Form 607 (L-4022)?
A: Property assessors or officials responsible for maintaining assessment rolls in Michigan need to file this form.

Q: What types of changes are reported on Form 607 (L-4022)?
A: Form 607 (L-4022) is used to report changes such as additions, deletions, and modifications to the assessment roll, as well as changes in classification of properties.

Q: When is Form 607 (L-4022) due?
A: The due date for filing Form 607 (L-4022) in Michigan is typically February 20th of each year.

ADVERTISEMENT

Form Details:

  • Released on October 1, 2018;
  • The latest edition provided by the Michigan Department of Treasury;
  • Easy to use and ready to print;
  • Quick to customize;
  • Compatible with most PDF-viewing applications;
  • Fill out the form in our online filing application.

Download a fillable version of Form 607 (L-4022) by clicking the link below or browse more documents and templates provided by the Michigan Department of Treasury.

Download Form 607 (L-4022) Report of Assessment Roll Changes and Classification - Michigan

4.5 of 5 (38 votes)
  • Form 607 (L-4022) Report of Assessment Roll Changes and Classification - Michigan

    1

  • Form 607 (L-4022) Report of Assessment Roll Changes and Classification - Michigan, Page 2

    2

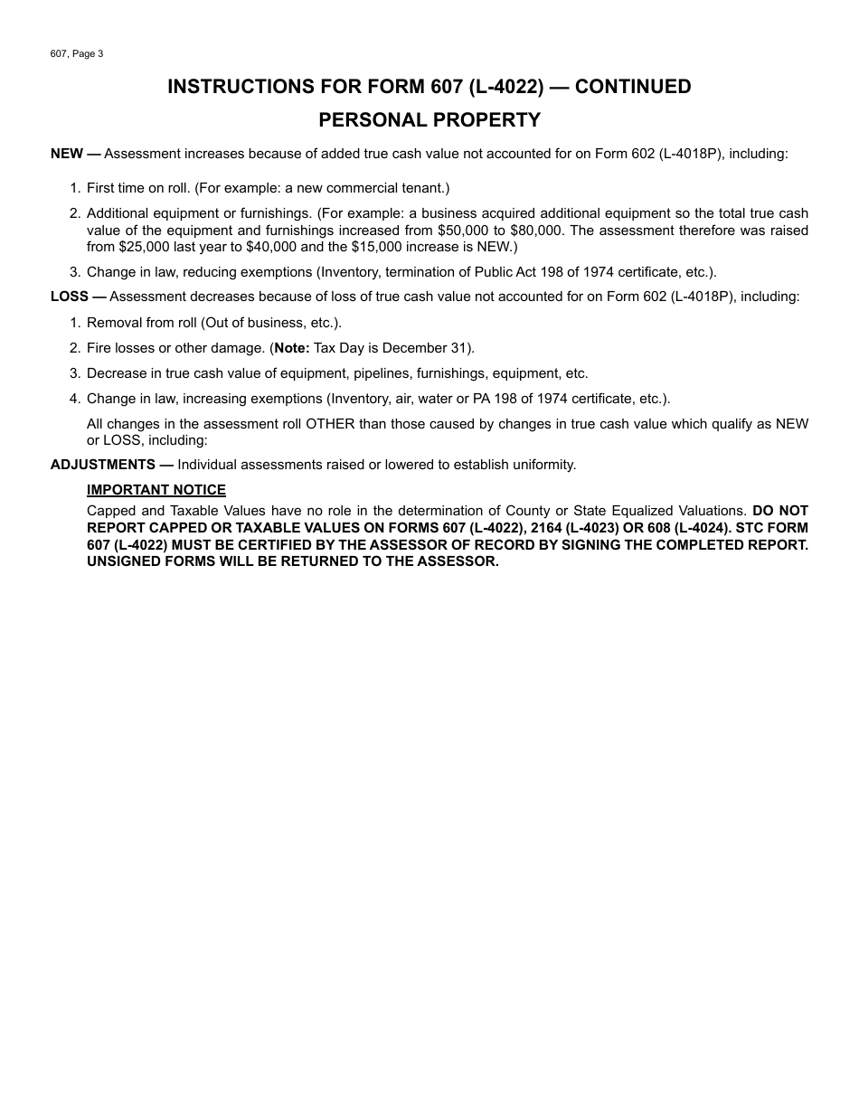
  • Form 607 (L-4022) Report of Assessment Roll Changes and Classification - Michigan, Page 3

    3

  • Form 607 (L-4022) Report of Assessment Roll Changes and Classification - Michigan, Page 1
  • Form 607 (L-4022) Report of Assessment Roll Changes and Classification - Michigan, Page 2
  • Form 607 (L-4022) Report of Assessment Roll Changes and Classification - Michigan, Page 3
Prev 1 2 3 Next
ADVERTISEMENT

Related Documents