Form 110 Standard Form of Contract Between Owner and Contractor for Construction Under $25,000 - Montana

Notification Icon This version of the form is not currently in use and is provided for reference only. Download this version of Form 110 for the current year.

Form 110 Standard Form of Contract Between Owner and Contractor for Construction Under $25,000 - Montana

What Is Form 110?

This is a legal form that was released by the Montana Department of Administration - a government authority operating within Montana. As of today, no separate filing guidelines for the form are provided by the issuing department.

FAQ

Q: What is Form 110?
A: Form 110 is a standard form of contract between an owner and a contractor for construction projects under $25,000 in Montana.

Q: Who can use Form 110?
A: Both the owner and contractor can use Form 110 for construction projects under $25,000 in Montana.

Q: What is the purpose of Form 110?
A: The purpose of Form 110 is to establish the terms and conditions of the contract between the owner and contractor for a construction project.

Q: What does Form 110 cover?
A: Form 110 covers various aspects of the construction project, including scope of work, payment terms, insurance requirements, and dispute resolution.

Q: Is Form 110 legally binding?
A: Yes, once both the owner and contractor sign Form 110, it becomes a legally binding contract.

Q: Can Form 110 be modified?
A: Yes, Form 110 can be modified to suit the specific needs of the owner and contractor, but any modifications should be agreed upon by both parties.

Q: What should I do if there is a dispute?
A: If there is a dispute related to the construction project, both parties should follow the dispute resolution process outlined in Form 110.

Q: Are there any specific requirements for using Form 110?
A: There are no specific requirements for using Form 110, but it is recommended to consult with legal professionals or construction experts before signing the contract.

Q: Can Form 110 be used for construction projects over $25,000?
A: No, Form 110 is specifically designed for construction projects under $25,000 in Montana.

ADVERTISEMENT

Form Details:

  • Released on December 1, 2017;
  • The latest edition provided by the Montana Department of Administration;
  • Easy to use and ready to print;
  • Quick to customize;
  • Compatible with most PDF-viewing applications;
  • Fill out the form in our online filing application.

Download a fillable version of Form 110 by clicking the link below or browse more documents and templates provided by the Montana Department of Administration.

Download Form 110 Standard Form of Contract Between Owner and Contractor for Construction Under $25,000 - Montana

4.4 of 5 (54 votes)
  • Form 110 Standard Form of Contract Between Owner and Contractor for Construction Under $25,000 - Montana

    1

  • Form 110 Standard Form of Contract Between Owner and Contractor for Construction Under $25,000 - Montana, Page 2

    2

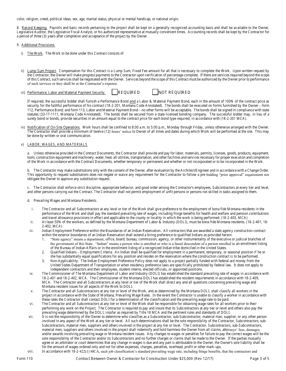
  • Form 110 Standard Form of Contract Between Owner and Contractor for Construction Under $25,000 - Montana, Page 3

    3

  • Form 110 Standard Form of Contract Between Owner and Contractor for Construction Under $25,000 - Montana, Page 4

    4

  • Form 110 Standard Form of Contract Between Owner and Contractor for Construction Under $25,000 - Montana, Page 5

    5

  • Form 110 Standard Form of Contract Between Owner and Contractor for Construction Under $25,000 - Montana, Page 1
  • Form 110 Standard Form of Contract Between Owner and Contractor for Construction Under $25,000 - Montana, Page 2
  • Form 110 Standard Form of Contract Between Owner and Contractor for Construction Under $25,000 - Montana, Page 3
  • Form 110 Standard Form of Contract Between Owner and Contractor for Construction Under $25,000 - Montana, Page 4
  • Form 110 Standard Form of Contract Between Owner and Contractor for Construction Under $25,000 - Montana, Page 5
Prev 1 2 3 4 5 Next
ADVERTISEMENT