IRS Form 8983 Certification of Partner Tax-Exempt Status for Modification Under IRC Section 6225(C)(3)

Notification Icon This version of the form is not currently in use and is provided for reference only. Download this version of IRS Form 8983 for the current year.

IRS Form 8983 Certification of Partner Tax-Exempt Status for Modification Under IRC Section 6225(C)(3)

What Is IRS Form 8983?

This is a tax form that was released by the Internal Revenue Service (IRS) - a subdivision of the U.S. Department of the Treasury on February 1, 2019. As of today, no separate filing guidelines for the form are provided by the IRS.

FAQ

Q: What is IRS Form 8983?
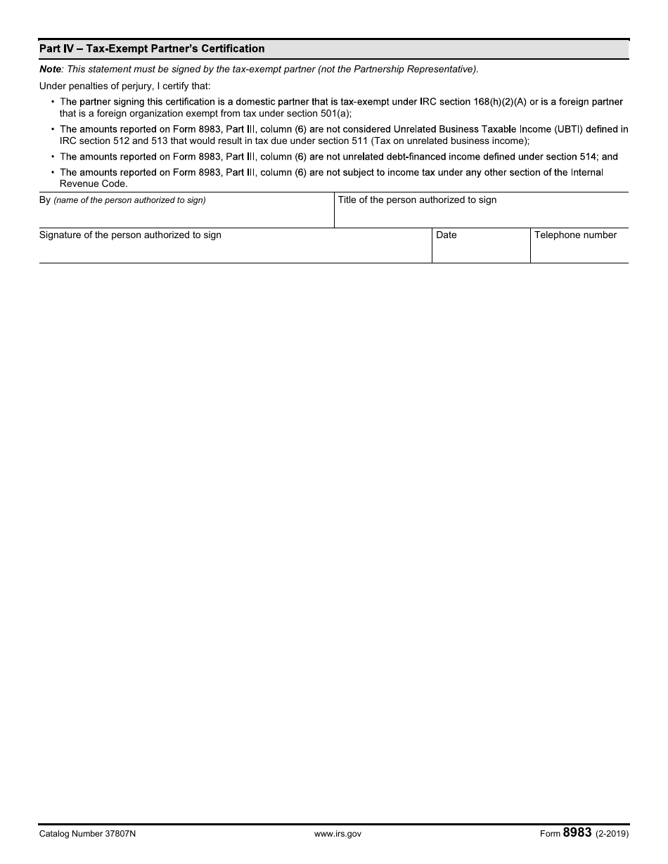
A: IRS Form 8983 is a form used for the Certification of Partner Tax-Exempt Status for Modification under IRC Section 6225(c)(3).

Q: Who needs to file IRS Form 8983?
A: Partnerships that have tax-exempt partners and are making modifications under IRC Section 6225(c)(3) need to file Form 8983.

Q: What is the purpose of IRS Form 8983?
A: The purpose of Form 8983 is to certify that a partner of a partnership is tax-exempt and therefore eligible for certain modifications under IRC Section 6225(c)(3).

Q: Is IRS Form 8983 mandatory?
A: Yes, if you are a partnership with tax-exempt partners making modifications under IRC Section 6225(c)(3), filing Form 8983 is mandatory.

Q: When is the deadline for filing IRS Form 8983?
A: The deadline for filing Form 8983 is typically the same as the partnership tax return due date, which is usually March 15th.

Q: Are there any penalties for not filing IRS Form 8983?
A: Failure to file Form 8983 or filing an incomplete or inaccurate form may result in penalties imposed by the IRS.

Q: Can I file IRS Form 8983 electronically?
A: As of now, Form 8983 cannot be filed electronically. It must be filed by mail or in person with the IRS.

ADVERTISEMENT

Form Details:

  • A 6-page form available for download in PDF;
  • Actual and valid for filing 2023 taxes;
  • Editable, printable, and free;
  • Fill out the form in our online filing application.

Download a fillable version of IRS Form 8983 through the link below or browse more documents in our library of IRS Forms.

Download IRS Form 8983 Certification of Partner Tax-Exempt Status for Modification Under IRC Section 6225(C)(3)

4.8 of 5 (63 votes)
  • IRS Form 8983 Certification of Partner Tax-Exempt Status for Modification Under IRC Section 6225(C)(3)

    1

  • IRS Form 8983 Certification of Partner Tax-Exempt Status for Modification Under IRC Section 6225(C)(3), Page 2

    2

  • IRS Form 8983 Certification of Partner Tax-Exempt Status for Modification Under IRC Section 6225(C)(3), Page 3

    3

  • IRS Form 8983 Certification of Partner Tax-Exempt Status for Modification Under IRC Section 6225(C)(3), Page 4

    4

  • IRS Form 8983 Certification of Partner Tax-Exempt Status for Modification Under IRC Section 6225(C)(3), Page 5

    5

  • IRS Form 8983 Certification of Partner Tax-Exempt Status for Modification Under IRC Section 6225(C)(3), Page 6

    6

  • IRS Form 8983 Certification of Partner Tax-Exempt Status for Modification Under IRC Section 6225(C)(3), Page 1
  • IRS Form 8983 Certification of Partner Tax-Exempt Status for Modification Under IRC Section 6225(C)(3), Page 2
  • IRS Form 8983 Certification of Partner Tax-Exempt Status for Modification Under IRC Section 6225(C)(3), Page 3
  • IRS Form 8983 Certification of Partner Tax-Exempt Status for Modification Under IRC Section 6225(C)(3), Page 4
  • IRS Form 8983 Certification of Partner Tax-Exempt Status for Modification Under IRC Section 6225(C)(3), Page 5
  • IRS Form 8983 Certification of Partner Tax-Exempt Status for Modification Under IRC Section 6225(C)(3), Page 6
Prev 1 2 3 4 5 6 Next
ADVERTISEMENT

Related Documents