Form AOC-E-300 Affidavit of Subscribing Witnesses for Probate of Will / Codicil to Will; Affidavit of Notary Serving as Attesting Witness for Probate of Will / Codicil to Will - North Carolina

Form AOC-E-300 Affidavit of Subscribing Witnesses for Probate of Will / Codicil to Will; Affidavit of Notary Serving as Attesting Witness for Probate of Will / Codicil to Will - North Carolina

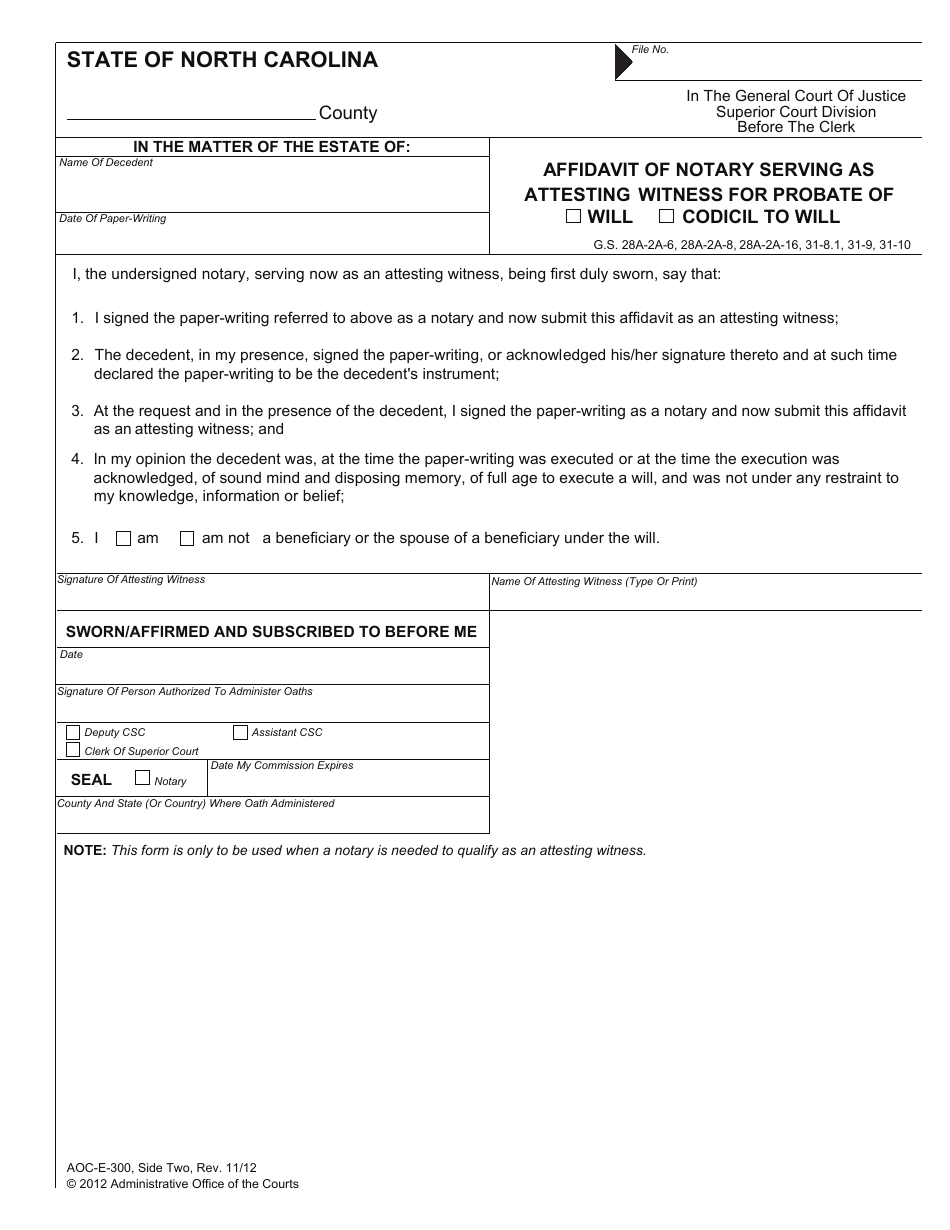
What Is Form AOC-E-300?

This is a legal form that was released by the North Carolina Superior Court - a government authority operating within North Carolina. As of today, no separate filing guidelines for the form are provided by the issuing department.

FAQ

Q: What is Form AOC-E-300?
A: Form AOC-E-300 is an Affidavit of Subscribing Witnesses for Probate of Will/Codicil to Will; Affidavit of Notary Serving as Attesting Witness for Probate of Will/Codicil to Will in North Carolina.

Q: What is the purpose of Form AOC-E-300?
A: Form AOC-E-300 is used to gather testimony from subscribing witnesses or a notary who attested a will or codicil to a will, in order to probate the document.

Q: Who needs to fill out Form AOC-E-300?
A: Form AOC-E-300 is typically filled out by subscribing witnesses to the will or a notary who served as an attesting witness.

Q: Is Form AOC-E-300 specific to North Carolina?
A: Yes, Form AOC-E-300 is specific to North Carolina probate proceedings.

Q: Are there any fees associated with Form AOC-E-300?
A: There may be filing fees associated with submitting Form AOC-E-300, depending on the requirements of the probate court.

Q: Is Form AOC-E-300 required for all wills or codicils in North Carolina?
A: Form AOC-E-300 is required for the probate of wills or codicils in North Carolina, when there are subscribing witnesses or a notary serving as an attesting witness.

ADVERTISEMENT

Form Details:

  • Released on November 1, 2012;
  • The latest edition provided by the North Carolina Superior Court;
  • Easy to use and ready to print;
  • Quick to customize;
  • Compatible with most PDF-viewing applications;
  • Fill out the form in our online filing application.

Download a fillable version of Form AOC-E-300 by clicking the link below or browse more documents and templates provided by the North Carolina Superior Court.

Download Form AOC-E-300 Affidavit of Subscribing Witnesses for Probate of Will / Codicil to Will; Affidavit of Notary Serving as Attesting Witness for Probate of Will / Codicil to Will - North Carolina

4.6 of 5 (9 votes)
  • Form AOC-E-300 Affidavit of Subscribing Witnesses for Probate of Will/Codicil to Will; Affidavit of Notary Serving as Attesting Witness for Probate of Will/Codicil to Will - North Carolina

    1

  • Form AOC-E-300 Affidavit of Subscribing Witnesses for Probate of Will/Codicil to Will; Affidavit of Notary Serving as Attesting Witness for Probate of Will/Codicil to Will - North Carolina, Page 2

    2

  • Form AOC-E-300 Affidavit of Subscribing Witnesses for Probate of Will / Codicil to Will; Affidavit of Notary Serving as Attesting Witness for Probate of Will / Codicil to Will - North Carolina, Page 1
  • Form AOC-E-300 Affidavit of Subscribing Witnesses for Probate of Will / Codicil to Will; Affidavit of Notary Serving as Attesting Witness for Probate of Will / Codicil to Will - North Carolina, Page 2
Prev 1 2 Next
ADVERTISEMENT

Related Documents