Form SMP2 Request for a New Hearing After a Failure to Appear (Motion to Vacate a Default) - New York City

Notification Icon This version of the form is not currently in use and is provided for reference only. Download this version of Form SMP2 for the current year.

Form SMP2 Request for a New Hearing After a Failure to Appear (Motion to Vacate a Default) - New York City

What Is Form SMP2?

This is a legal form that was released by the New York City Office of Administrative Trials and Hearings - a government authority operating within New York City. As of today, no separate filing guidelines for the form are provided by the issuing department.

FAQ

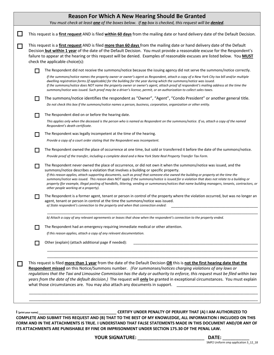
Q: What is an SMP2 Request?
A: An SMP2 Request is a form used to request a new hearing after a failure to appear in court.

Q: What does Motion to Vacate a Default mean?
A: Motion to Vacate a Default means to request to have a default judgmentset aside.

Q: When should I use the SMP2 form?
A: You should use the SMP2 form when you failed to appear in court and want to request a new hearing.

Q: Is the SMP2 form specific to New York City?
A: Yes, the SMP2 form is specific to New York City.

Q: What information should I include in the SMP2 form?
A: You should include your case information, reasons for your failure to appear, and a request for a new hearing.

Q: What happens after I submit the SMP2 form?
A: After submitting the SMP2 form, the court will review your request and determine whether to grant a new hearing.

Q: Can I have legal representation for submitting an SMP2 form?
A: Yes, you may have legal representation to assist you in submitting an SMP2 form.

ADVERTISEMENT

Form Details:

  • Released on March 12, 2018;
  • The latest edition provided by the New York City Office of Administrative Trials and Hearings;
  • Easy to use and ready to print;
  • Available in French;
  • Quick to customize;
  • Compatible with most PDF-viewing applications;
  • Fill out the form in our online filing application.

Download a printable version of Form SMP2 by clicking the link below or browse more documents and templates provided by the New York City Office of Administrative Trials and Hearings.

Download Form SMP2 Request for a New Hearing After a Failure to Appear (Motion to Vacate a Default) - New York City

4.3 of 5 (90 votes)
  • Form SMP2 Request for a New Hearing After a Failure to Appear (Motion to Vacate a Default) - New York City

    1

  • Form SMP2 Request for a New Hearing After a Failure to Appear (Motion to Vacate a Default) - New York City, Page 2

    2

  • Form SMP2 Request for a New Hearing After a Failure to Appear (Motion to Vacate a Default) - New York City, Page 1
  • Form SMP2 Request for a New Hearing After a Failure to Appear (Motion to Vacate a Default) - New York City, Page 2
Prev 1 2 Next
ADVERTISEMENT

Related Documents