Risk Retention Group Form - Part a - Notice and Registration - Oklahoma

Risk Retention Group Form - Part a - Notice and Registration - Oklahoma

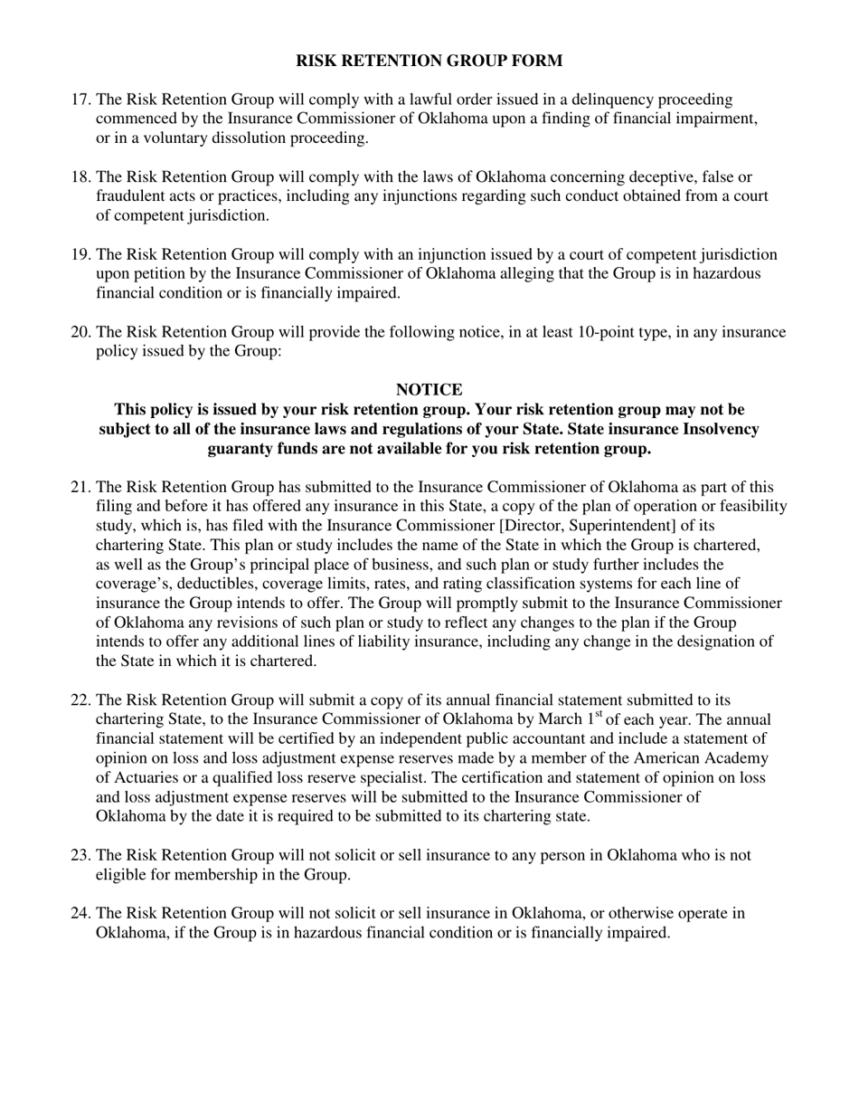
Risk Retention Group Form - Part a - Notice and Registration is a legal document that was released by the Oklahoma Insurance Department - a government authority operating within Oklahoma.

FAQ

Q: What is a Risk Retention Group?
A: A Risk Retention Group is a type of insurance company.

Q: What is Part A of the Risk Retention Group Form?
A: Part A refers to the Notice and Registration section of the form.

Q: What does the Notice and Registration section involve?
A: The Notice and Registration section involves providing information about the Risk Retention Group to the state of Oklahoma.

Q: Why is it important to register a Risk Retention Group?
A: Registering a Risk Retention Group is important to comply with state regulations and ensure legality of operations.

Q: What is the purpose of the Risk Retention Group Form?
A: The purpose of the Risk Retention Group Form is to document and provide information about the Risk Retention Group.

Q: Is it mandatory to fill out the Risk Retention Group Form?
A: Yes, it is mandatory to fill out the Risk Retention Group Form as part of the registration process.

Q: Are there any fees associated with registering a Risk Retention Group in Oklahoma?
A: There may be fees associated with registering a Risk Retention Group in Oklahoma. It is recommended to check with the regulatory agency for specific information.

Q: What happens after submitting the Risk Retention Group Form in Oklahoma?
A: After submitting the Risk Retention Group Form in Oklahoma, the regulatory agency will review the application and process the registration. Once approved, the Risk Retention Group can legally operate in the state.

ADVERTISEMENT

Form Details:

  • The latest edition currently provided by the Oklahoma Insurance Department;
  • Ready to use and print;
  • Easy to customize;
  • Compatible with most PDF-viewing applications;
  • Fill out the form in our online filing application.

Download a fillable version of the form by clicking the link below or browse more documents and templates provided by the Oklahoma Insurance Department.

Download Risk Retention Group Form - Part a - Notice and Registration - Oklahoma

4.6 of 5 (56 votes)
  • Risk Retention Group Form - Part a - Notice and Registration - Oklahoma

    1

  • Risk Retention Group Form - Part a - Notice and Registration - Oklahoma, Page 2

    2

  • Risk Retention Group Form - Part a - Notice and Registration - Oklahoma, Page 3

    3

  • Risk Retention Group Form - Part a - Notice and Registration - Oklahoma, Page 4

    4

  • Risk Retention Group Form - Part a - Notice and Registration - Oklahoma, Page 5

    5

  • Risk Retention Group Form - Part a - Notice and Registration - Oklahoma, Page 1
  • Risk Retention Group Form - Part a - Notice and Registration - Oklahoma, Page 2
  • Risk Retention Group Form - Part a - Notice and Registration - Oklahoma, Page 3
  • Risk Retention Group Form - Part a - Notice and Registration - Oklahoma, Page 4
  • Risk Retention Group Form - Part a - Notice and Registration - Oklahoma, Page 5
Prev 1 2 3 4 5 Next
ADVERTISEMENT

Related Documents