Form F620-053-000 Pre-inspection Checklist for High Pressure Boilers - Washington

Notification Icon This version of the form is not currently in use and is provided for reference only. Download this version of Form F620-053-000 for the current year.

Form F620-053-000 Pre-inspection Checklist for High Pressure Boilers - Washington

What Is Form F620-053-000?

This is a legal form that was released by the Washington State Department of Labor and Industries - a government authority operating within Washington. As of today, no separate filing guidelines for the form are provided by the issuing department.

FAQ

Q: What is Form F620-053-000?
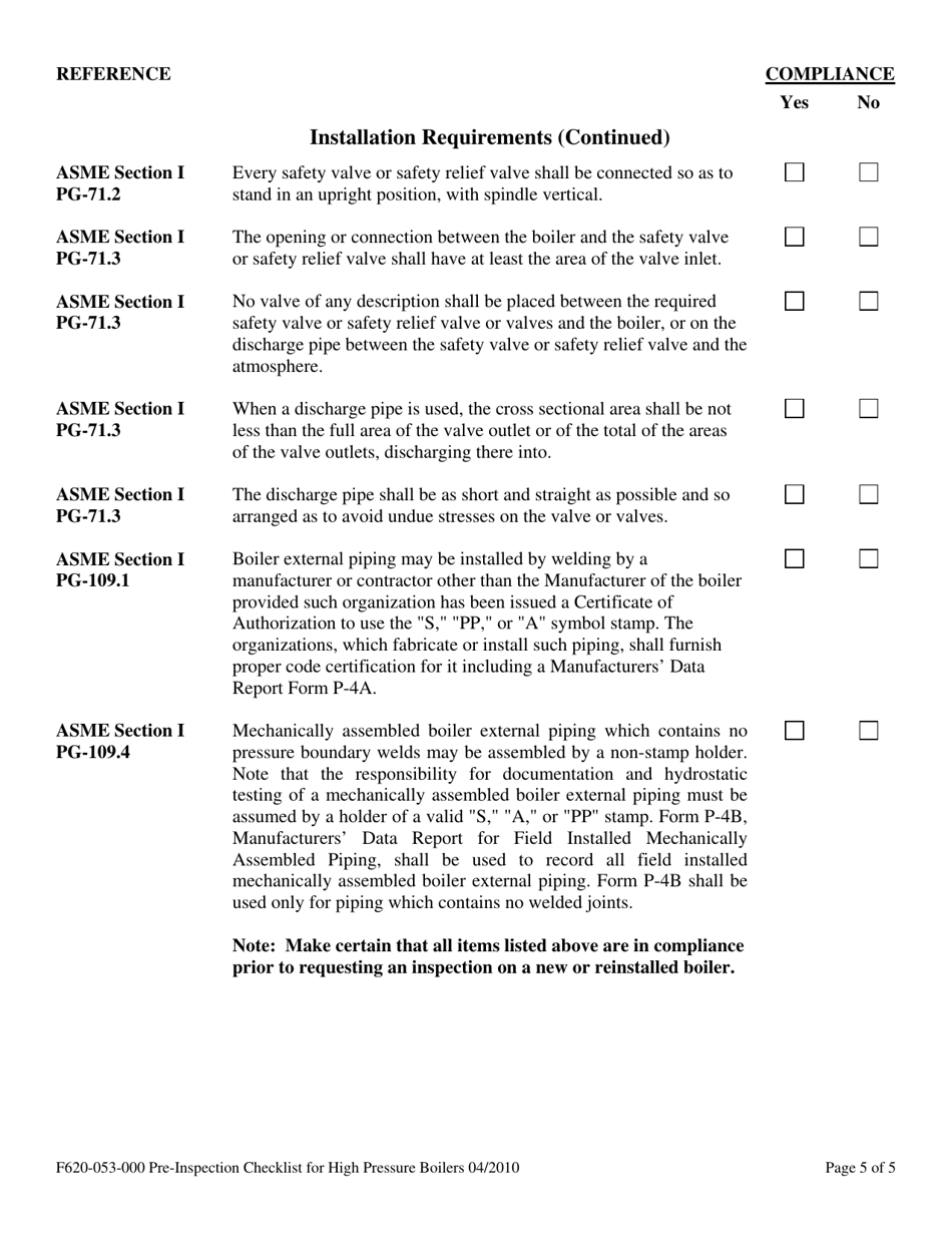
A: Form F620-053-000 is a pre-inspection checklist for high pressure boilers in Washington.

Q: What is the purpose of this form?
A: The purpose of this form is to conduct a pre-inspection checklist for high pressure boilers.

Q: What kind of boilers does this form apply to?
A: This form applies to high pressure boilers.

Q: Who should use this form?
A: This form should be used by individuals responsible for the operation and maintenance of high pressure boilers.

Q: What does the checklist include?
A: The checklist includes items such as boiler identification, safety valves, water level indicators, and fuel system.

Q: Why is this checklist important?
A: This checklist is important to ensure that high pressure boilers are in compliance with safety regulations.

Q: Are there any fees associated with using this form?
A: There are no fees associated with using this form.

Q: What should I do if I find any issues during the inspection?
A: If you find any issues during the inspection, you should follow the appropriate procedures to resolve them and ensure the safety of the boiler.

Q: Is this form applicable to other states besides Washington?
A: No, this form is specific to the state of Washington.

Q: How often should this checklist be completed?
A: This checklist should be completed as part of the regular inspection and maintenance schedule for high pressure boilers.

Q: Who enforces the regulations for high pressure boilers in Washington?
A: The regulations for high pressure boilers in Washington are enforced by the Washington State Department of Labor and Industries.

Q: What are the consequences of non-compliance with the regulations?
A: Non-compliance with the regulations can result in penalties, fines, and potential shutdown of the boiler.

Q: Can someone help me fill out this form?
A: Yes, you can seek assistance from a qualified professional or contact the Washington State Department of Labor and Industries for guidance.

Q: Is there a deadline for submitting this form?
A: There is no specific deadline for submitting this form, but it should be completed prior to the inspection of the high pressure boiler.

Q: Can I make copies of this form for future use?
A: Yes, you can make copies of this form for future use.

Q: Can I submit the form in person?
A: Yes, you can submit the form in person at the Washington State Department of Labor and Industries office or designated drop-off locations.

ADVERTISEMENT

Form Details:

  • Released on April 1, 2010;
  • The latest edition provided by the Washington State Department of Labor and Industries;
  • Easy to use and ready to print;
  • Quick to customize;
  • Compatible with most PDF-viewing applications;
  • Fill out the form in our online filing application.

Download a printable version of Form F620-053-000 by clicking the link below or browse more documents and templates provided by the Washington State Department of Labor and Industries.

Download Form F620-053-000 Pre-inspection Checklist for High Pressure Boilers - Washington

4.4 of 5 (46 votes)
  • Form F620-053-000 Pre-inspection Checklist for High Pressure Boilers - Washington

    1

  • Form F620-053-000 Pre-inspection Checklist for High Pressure Boilers - Washington, Page 2

    2

  • Form F620-053-000 Pre-inspection Checklist for High Pressure Boilers - Washington, Page 3

    3

  • Form F620-053-000 Pre-inspection Checklist for High Pressure Boilers - Washington, Page 4

    4

  • Form F620-053-000 Pre-inspection Checklist for High Pressure Boilers - Washington, Page 5

    5

  • Form F620-053-000 Pre-inspection Checklist for High Pressure Boilers - Washington, Page 1
  • Form F620-053-000 Pre-inspection Checklist for High Pressure Boilers - Washington, Page 2
  • Form F620-053-000 Pre-inspection Checklist for High Pressure Boilers - Washington, Page 3
  • Form F620-053-000 Pre-inspection Checklist for High Pressure Boilers - Washington, Page 4
  • Form F620-053-000 Pre-inspection Checklist for High Pressure Boilers - Washington, Page 5
Prev 1 2 3 4 5 Next
ADVERTISEMENT

Related Documents