Form AV-4 Application for New Airport / Heliport Site Approval - Pennsylvania

Form AV-4 Application for New Airport / Heliport Site Approval - Pennsylvania

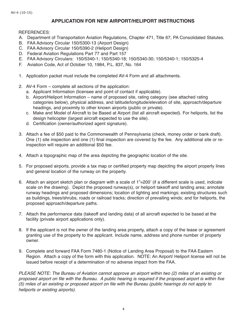
What Is Form AV-4?

This is a legal form that was released by the Pennsylvania Department of Transportation - a government authority operating within Pennsylvania. As of today, no separate filing guidelines for the form are provided by the issuing department.

FAQ

Q: What is Form AV-4?
A: Form AV-4 is an application for new airport/heliport site approval in Pennsylvania.

Q: Who needs to fill out Form AV-4?
A: Anyone who wants to propose a new airport or heliport site in Pennsylvania needs to fill out Form AV-4.

Q: What information is required on Form AV-4?
A: Form AV-4 requires information about the proposed site, ownership, development plans, environmental impact, and other relevant details.

Q: What is the purpose of Form AV-4?
A: The purpose of Form AV-4 is to evaluate and approve new airport and heliport sites according to Pennsylvania's aviation regulations.

ADVERTISEMENT

Form Details:

  • Released on October 1, 2015;
  • The latest edition provided by the Pennsylvania Department of Transportation;
  • Easy to use and ready to print;
  • Quick to customize;
  • Compatible with most PDF-viewing applications;
  • Fill out the form in our online filing application.

Download a fillable version of Form AV-4 by clicking the link below or browse more documents and templates provided by the Pennsylvania Department of Transportation.

Download Form AV-4 Application for New Airport / Heliport Site Approval - Pennsylvania

4.5 of 5 (33 votes)
  • Form AV-4 Application for New Airport/Heliport Site Approval - Pennsylvania

    1

  • Form AV-4 Application for New Airport/Heliport Site Approval - Pennsylvania, Page 2

    2

  • Form AV-4 Application for New Airport/Heliport Site Approval - Pennsylvania, Page 3

    3

  • Form AV-4 Application for New Airport/Heliport Site Approval - Pennsylvania, Page 4

    4

  • Form AV-4 Application for New Airport / Heliport Site Approval - Pennsylvania, Page 1
  • Form AV-4 Application for New Airport / Heliport Site Approval - Pennsylvania, Page 2
  • Form AV-4 Application for New Airport / Heliport Site Approval - Pennsylvania, Page 3
  • Form AV-4 Application for New Airport / Heliport Site Approval - Pennsylvania, Page 4
Prev 1 2 3 4 Next
ADVERTISEMENT