Registration of Air Pollution Control Equipment - Rhode Island

Registration of Air Pollution Control Equipment - Rhode Island

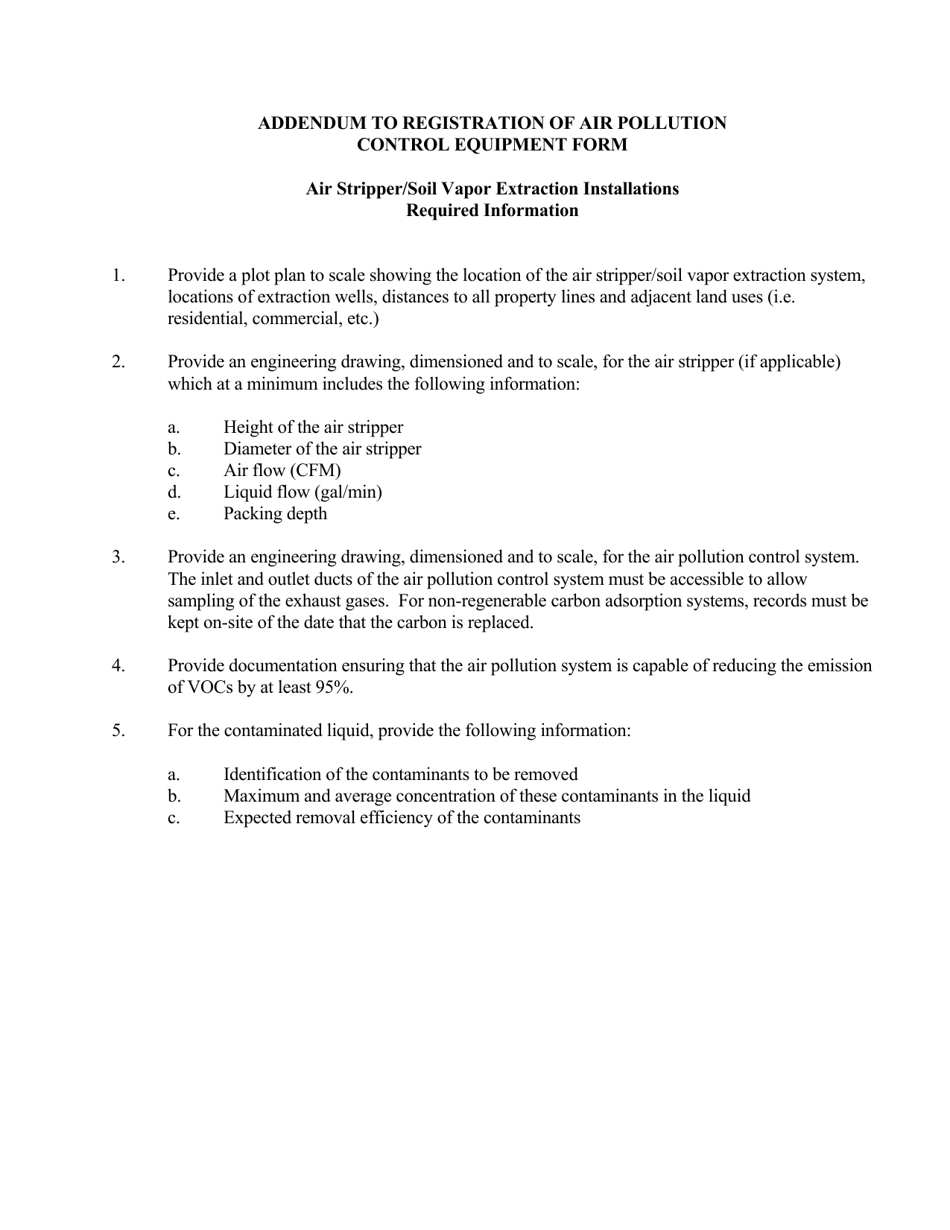
Registration of Air Pollution Control Equipment is a legal document that was released by the Rhode Island Department of Environmental Management - a government authority operating within Rhode Island.

FAQ

Q: What is the purpose of registering air pollutioncontrol equipment in Rhode Island?
A: The purpose is to ensure that the equipment is being properly installed and maintained to reduce air pollution.

Q: Who is required to register air pollution control equipment in Rhode Island?
A: Any person or company operating air pollution control equipment in Rhode Island is required to register.

Q: Is there a fee for registering air pollution control equipment in Rhode Island?
A: Yes, there is a fee associated with the registration process.

Q: What happens if I don't register my air pollution control equipment in Rhode Island?
A: Failure to register the equipment can result in penalties and fines.

Q: Do I need to renew my registration for air pollution control equipment in Rhode Island?
A: Yes, registrations need to be renewed periodically.

Q: Can I transfer my registration for air pollution control equipment to another owner in Rhode Island?
A: Yes, registrations can be transferred to a new owner with the approval of the Rhode Island Department of Environmental Management.

Q: Are there any exemptions from registering air pollution control equipment in Rhode Island?
A: There may be some exemptions for certain types of equipment, but it is best to consult with the Rhode Island Department of Environmental Management for specific details.

Q: What documents do I need to provide when registering my air pollution control equipment in Rhode Island?
A: You may need to provide documentation such as equipment specifications, installation plans, and maintenance records.

Q: Can I operate my air pollution control equipment while the registration is being processed in Rhode Island?
A: You are allowed to operate the equipment while the registration is being processed, as long as you have submitted a complete application and payment.

ADVERTISEMENT

Form Details:

  • Released on September 1, 1996;
  • The latest edition currently provided by the Rhode Island Department of Environmental Management;
  • Ready to use and print;
  • Easy to customize;
  • Compatible with most PDF-viewing applications;
  • Fill out the form in our online filing application.

Download a fillable version of the form by clicking the link below or browse more documents and templates provided by the Rhode Island Department of Environmental Management.

Download Registration of Air Pollution Control Equipment - Rhode Island

4.7 of 5 (53 votes)
  • Registration of Air Pollution Control Equipment - Rhode Island

    1

  • Registration of Air Pollution Control Equipment - Rhode Island, Page 2

    2

  • Registration of Air Pollution Control Equipment - Rhode Island, Page 3

    3

  • Registration of Air Pollution Control Equipment - Rhode Island, Page 4

    4

  • Registration of Air Pollution Control Equipment - Rhode Island, Page 1
  • Registration of Air Pollution Control Equipment - Rhode Island, Page 2
  • Registration of Air Pollution Control Equipment - Rhode Island, Page 3
  • Registration of Air Pollution Control Equipment - Rhode Island, Page 4
Prev 1 2 3 4 Next
ADVERTISEMENT

Related Documents