Form TCEQ-10345 (OP-UA61) Pulp, Paper, or Paperboard Producing Process Attributes - Texas

Form TCEQ-10345 (OP-UA61) Pulp, Paper, or Paperboard Producing Process Attributes - Texas

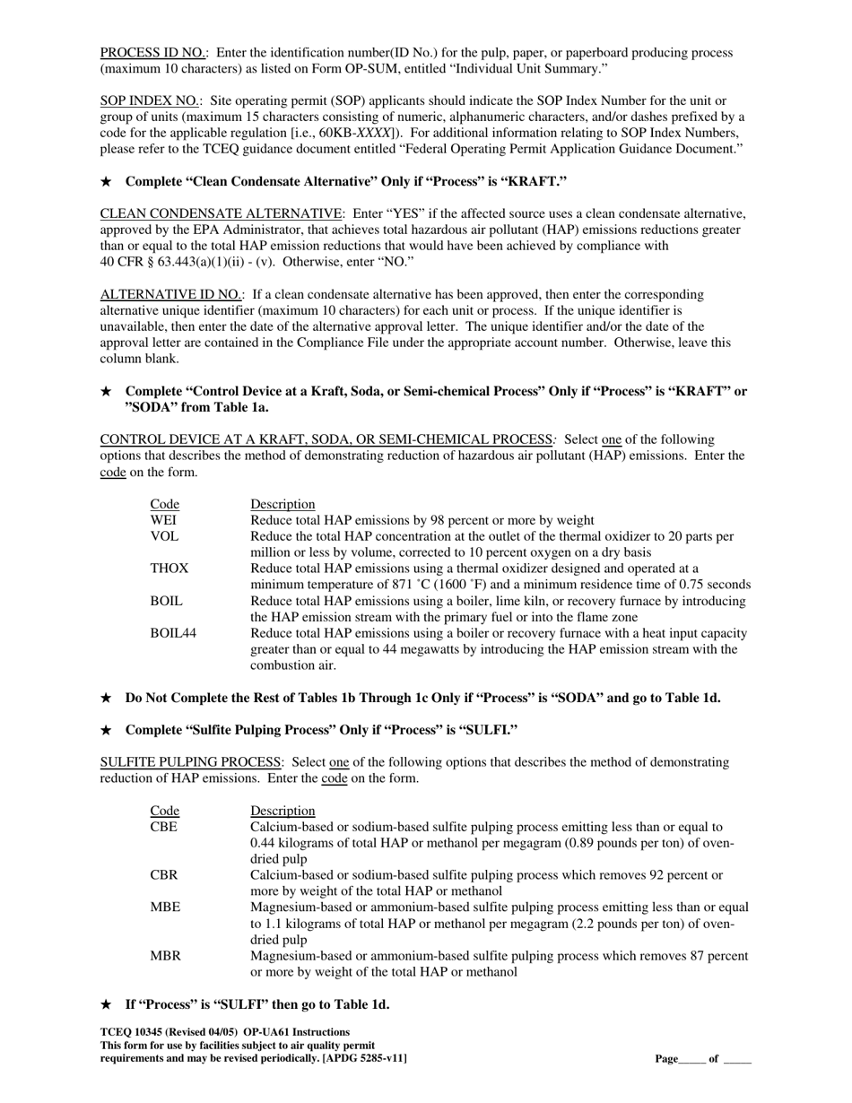
What Is Form TCEQ-10345 (OP-UA61)?

This is a legal form that was released by the Texas Commission on Environmental Quality - a government authority operating within Texas. As of today, no separate filing guidelines for the form are provided by the issuing department.

FAQ

Q: What is Form TCEQ-10345 (OP-UA61)?
A: Form TCEQ-10345 (OP-UA61) is a document used by the Texas Commission on Environmental Quality (TCEQ) for reporting and documenting the attributes of a pulp, paper, or paperboard producing process.

Q: Who needs to fill out Form TCEQ-10345 (OP-UA61)?
A: Operators of pulp, paper, or paperboard facilities in Texas are required to fill out Form TCEQ-10345 (OP-UA61).

Q: What information is required on Form TCEQ-10345 (OP-UA61)?
A: Form TCEQ-10345 (OP-UA61) requires the operator to provide detailed information about the facility's pulp, paper, or paperboard producing process, including production rates, raw material usage, and emissions.

Q: How often should Form TCEQ-10345 (OP-UA61) be completed?
A: Form TCEQ-10345 (OP-UA61) should be completed annually by pulp, paper, or paperboard facilities in Texas.

ADVERTISEMENT

Form Details:

  • Released on April 1, 2005;
  • The latest edition provided by the Texas Commission on Environmental Quality;
  • Easy to use and ready to print;
  • Quick to customize;
  • Compatible with most PDF-viewing applications;
  • Fill out the form in our online filing application.

Download a fillable version of Form TCEQ-10345 (OP-UA61) by clicking the link below or browse more documents and templates provided by the Texas Commission on Environmental Quality.

Download Form TCEQ-10345 (OP-UA61) Pulp, Paper, or Paperboard Producing Process Attributes - Texas

4.5 of 5 (19 votes)
  • Form TCEQ-10345 (OP-UA61) Pulp, Paper, or Paperboard Producing Process Attributes - Texas

    1

  • Form TCEQ-10345 (OP-UA61) Pulp, Paper, or Paperboard Producing Process Attributes - Texas, Page 2

    2

  • Form TCEQ-10345 (OP-UA61) Pulp, Paper, or Paperboard Producing Process Attributes - Texas, Page 3

    3

  • Form TCEQ-10345 (OP-UA61) Pulp, Paper, or Paperboard Producing Process Attributes - Texas, Page 4

    4

  • Form TCEQ-10345 (OP-UA61) Pulp, Paper, or Paperboard Producing Process Attributes - Texas, Page 5

    5

  • Form TCEQ-10345 (OP-UA61) Pulp, Paper, or Paperboard Producing Process Attributes - Texas, Page 6

    6

  • Form TCEQ-10345 (OP-UA61) Pulp, Paper, or Paperboard Producing Process Attributes - Texas, Page 7

    7

  • Form TCEQ-10345 (OP-UA61) Pulp, Paper, or Paperboard Producing Process Attributes - Texas, Page 8

    8

  • Form TCEQ-10345 (OP-UA61) Pulp, Paper, or Paperboard Producing Process Attributes - Texas, Page 9

    9

  • Form TCEQ-10345 (OP-UA61) Pulp, Paper, or Paperboard Producing Process Attributes - Texas, Page 10

    10

  • Form TCEQ-10345 (OP-UA61) Pulp, Paper, or Paperboard Producing Process Attributes - Texas, Page 1
  • Form TCEQ-10345 (OP-UA61) Pulp, Paper, or Paperboard Producing Process Attributes - Texas, Page 2
  • Form TCEQ-10345 (OP-UA61) Pulp, Paper, or Paperboard Producing Process Attributes - Texas, Page 3
  • Form TCEQ-10345 (OP-UA61) Pulp, Paper, or Paperboard Producing Process Attributes - Texas, Page 4
  • Form TCEQ-10345 (OP-UA61) Pulp, Paper, or Paperboard Producing Process Attributes - Texas, Page 5
  • Form TCEQ-10345 (OP-UA61) Pulp, Paper, or Paperboard Producing Process Attributes - Texas, Page 6
  • Form TCEQ-10345 (OP-UA61) Pulp, Paper, or Paperboard Producing Process Attributes - Texas, Page 7
  • Form TCEQ-10345 (OP-UA61) Pulp, Paper, or Paperboard Producing Process Attributes - Texas, Page 8
  • Form TCEQ-10345 (OP-UA61) Pulp, Paper, or Paperboard Producing Process Attributes - Texas, Page 9
  • Form TCEQ-10345 (OP-UA61) Pulp, Paper, or Paperboard Producing Process Attributes - Texas, Page 10
Prev 1 2 3 4 5 ... 10 Next
ADVERTISEMENT