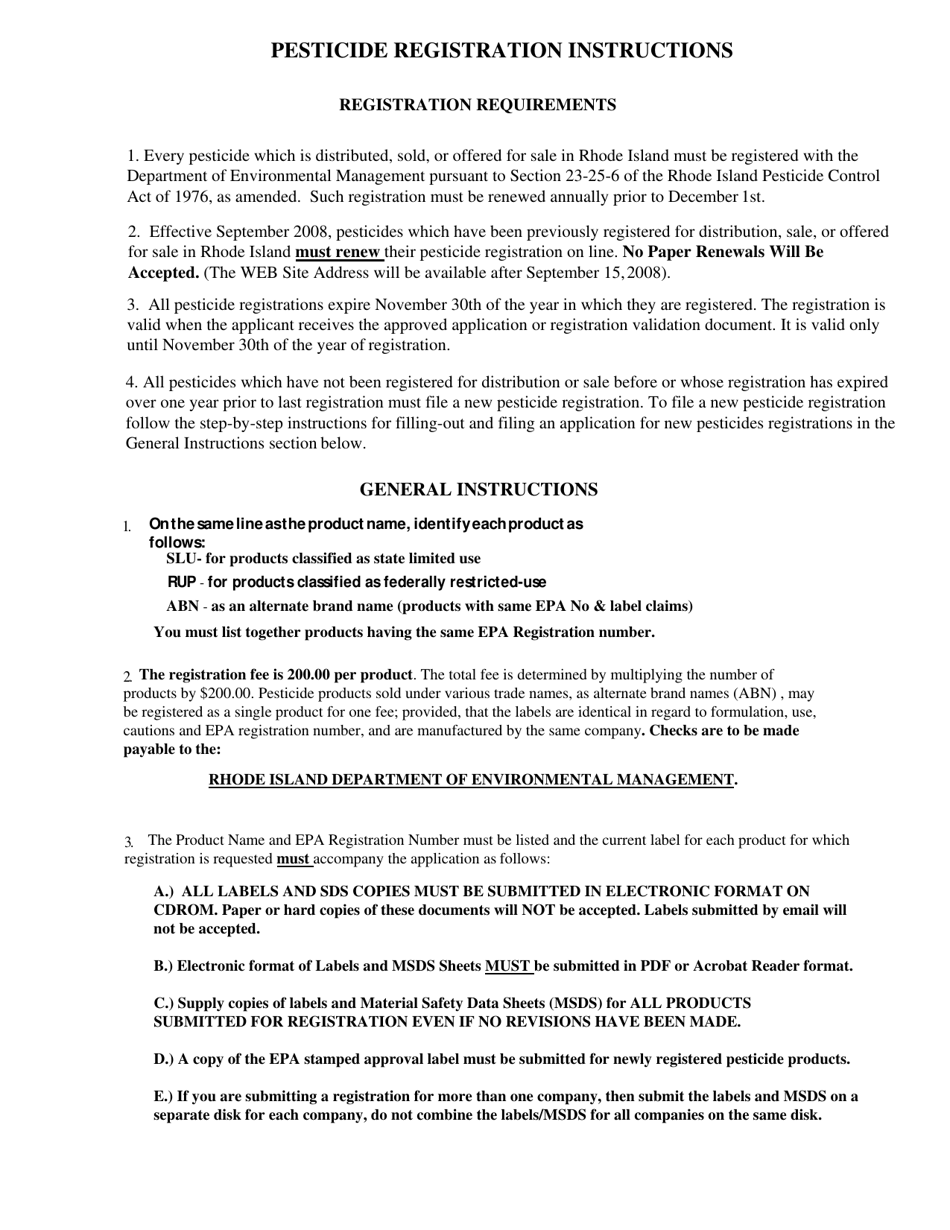
Application for Registration of Pesticides - Rhode Island

Notification Icon This version of the form is not currently in use and is provided for reference only. Download this version of the document for the current year.

Application for Registration of Pesticides - Rhode Island

Application for Registration of Pesticides is a legal document that was released by the Rhode Island Department of Environmental Management - a government authority operating within Rhode Island.

FAQ

Q: What is the application form for registering pesticides in Rhode Island?
A: The application form for registering pesticides in Rhode Island is called the Application for Registration of Pesticides.

Q: What is the purpose of registering pesticides in Rhode Island?
A: The purpose of registering pesticides in Rhode Island is to ensure that they are used safely and effectively, and to protect human health and the environment.

Q: Who is required to register pesticides in Rhode Island?
A: Anyone who wants to distribute, sell, offer for sale, or use any pesticide product in Rhode Island is required to register the pesticide.

Q: What information is required on the pesticide registration application?
A: The pesticide registration application requires information such as the product's brand name, active ingredients, signal word, and directions for use.

Q: How long does it take for a pesticide registration application to be processed in Rhode Island?
A: The processing time for a pesticide registration application in Rhode Island is typically 30 days.

Q: What happens after a pesticide registration application is approved?
A: After a pesticide registration application is approved, the pesticide is issued a unique registration number and is authorized for distribution, sale, and use in Rhode Island.

Q: Is it possible to renew a pesticide registration in Rhode Island?
A: Yes, it is possible to renew a pesticide registration in Rhode Island. The renewal application should be submitted 90 days prior to the expiration of the current registration.

Q: What are the consequences of distributing or using an unregistered pesticide in Rhode Island?
A: Distributing or using an unregistered pesticide in Rhode Island is a violation of state law and can result in penalties and legal consequences.

ADVERTISEMENT

Form Details:

  • Released on July 9, 2008;
  • The latest edition currently provided by the Rhode Island Department of Environmental Management;
  • Ready to use and print;
  • Easy to customize;
  • Compatible with most PDF-viewing applications;
  • Fill out the form in our online filing application.

Download a fillable version of the form by clicking the link below or browse more documents and templates provided by the Rhode Island Department of Environmental Management.

Download Application for Registration of Pesticides - Rhode Island

4.7 of 5 (58 votes)
  • Application for Registration of Pesticides - Rhode Island

    1

  • Application for Registration of Pesticides - Rhode Island, Page 2

    2

  • Application for Registration of Pesticides - Rhode Island, Page 3

    3

  • Application for Registration of Pesticides - Rhode Island, Page 1
  • Application for Registration of Pesticides - Rhode Island, Page 2
  • Application for Registration of Pesticides - Rhode Island, Page 3
Prev 1 2 3 Next
ADVERTISEMENT

Related Documents