Form 610 Application for Articles of Merger - Rhode Island

Notification Icon This version of the form is not currently in use and is provided for reference only. Download this version of Form 610 for the current year.

Form 610 Application for Articles of Merger - Rhode Island

What Is Form 610?

This is a legal form that was released by the Rhode Island Secretary of State - a government authority operating within Rhode Island. As of today, no separate filing guidelines for the form are provided by the issuing department.

FAQ

Q: What is Form 610?
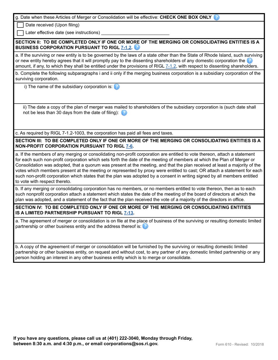
A: Form 610 is the Application for Articles of Merger in Rhode Island.

Q: What is the purpose of Form 610?
A: Form 610 is used to apply for the merger of two or more corporations in Rhode Island.

Q: Who can file Form 610?
A: Any corporation seeking to merge with one or more corporations in Rhode Island can file Form 610.

Q: What information is required on Form 610?
A: Form 610 requires information about the merging corporation(s), including names, addresses, and details of the merger.

Q: Is Form 610 required for all mergers in Rhode Island?
A: Yes, Form 610 is generally required for all mergers involving corporations in Rhode Island.

Q: Are there any additional documents required with Form 610?
A: Depending on the specifics of the merger, additional documents may be required. It is recommended to consult with legal counsel or the Rhode Island Secretary of State's office for specific requirements.

Q: What is the processing time for Form 610?
A: The processing time for Form 610 may vary. It is advisable to check with the Rhode Island Secretary of State's office for current processing times.

ADVERTISEMENT

Form Details:

  • Released on October 1, 2018;
  • The latest edition provided by the Rhode Island Secretary of State;
  • Easy to use and ready to print;
  • Quick to customize;
  • Compatible with most PDF-viewing applications;
  • Fill out the form in our online filing application.

Download a fillable version of Form 610 by clicking the link below or browse more documents and templates provided by the Rhode Island Secretary of State.

Download Form 610 Application for Articles of Merger - Rhode Island

4.7 of 5 (89 votes)
  • Form 610 Application for Articles of Merger - Rhode Island

    1

  • Form 610 Application for Articles of Merger - Rhode Island, Page 2

    2

  • Form 610 Application for Articles of Merger - Rhode Island, Page 3

    3

  • Form 610 Application for Articles of Merger - Rhode Island, Page 4

    4

  • Form 610 Application for Articles of Merger - Rhode Island, Page 5

    5

  • Form 610 Application for Articles of Merger - Rhode Island, Page 6

    6

  • Form 610 Application for Articles of Merger - Rhode Island, Page 1
  • Form 610 Application for Articles of Merger - Rhode Island, Page 2
  • Form 610 Application for Articles of Merger - Rhode Island, Page 3
  • Form 610 Application for Articles of Merger - Rhode Island, Page 4
  • Form 610 Application for Articles of Merger - Rhode Island, Page 5
  • Form 610 Application for Articles of Merger - Rhode Island, Page 6
Prev 1 2 3 4 5 6 Next
ADVERTISEMENT