Form 203 Articles of Dissolution - Domestic Non-profit Corporation - Rhode Island

Notification Icon This version of the form is not currently in use and is provided for reference only. Download this version of Form 203 for the current year.

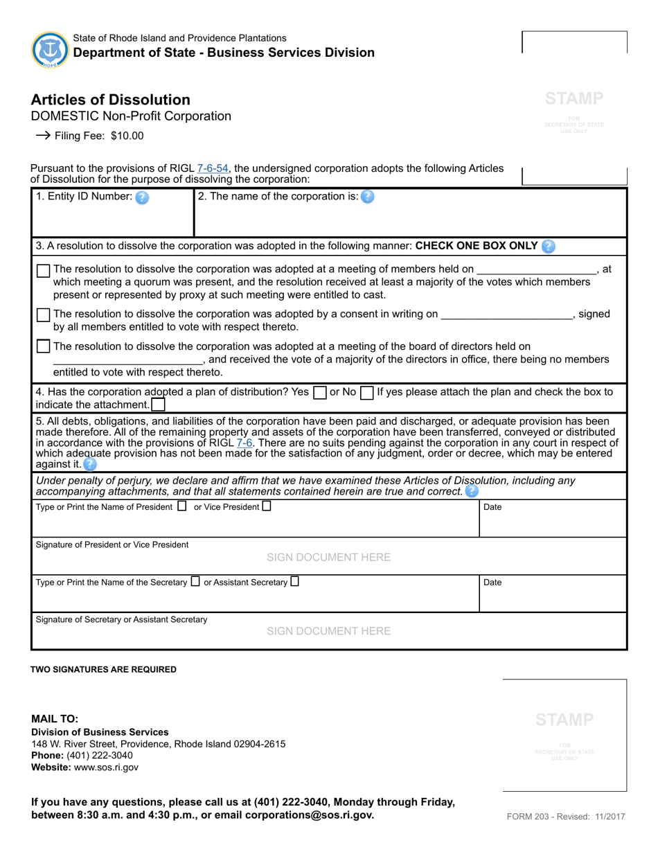
Form 203 Articles of Dissolution - Domestic Non-profit Corporation - Rhode Island

What Is Form 203?

This is a legal form that was released by the Rhode Island Secretary of State - a government authority operating within Rhode Island. As of today, no separate filing guidelines for the form are provided by the issuing department.

FAQ

Q: What is Form 203?
A: Form 203 is the Articles of Dissolution for a Domestic Non-profit Corporation in Rhode Island.

Q: What is a Domestic Non-profit Corporation?
A: A Domestic Non-profit Corporation is a type of corporation that is organized for a non-profit purpose within Rhode Island.

Q: What does the Articles of Dissolution do?
A: The Articles of Dissolution officially terminate the existence of a non-profit corporation.

Q: Who needs to file Form 203?
A: Any domestic non-profit corporation in Rhode Island that wishes to dissolve and cease its operations must file Form 203.

Q: What information is required on Form 203?
A: Form 203 requires information such as the corporation's name, the effective date of dissolution, the grounds for dissolution, and the signature of an authorized officer.

Q: Are there any additional requirements for dissolution?
A: It is recommended to consult with an attorney or tax professional to ensure compliance with any additional requirements for dissolution, such as tax filings or notifications to creditors.

ADVERTISEMENT

Form Details:

  • Released on November 1, 2017;
  • The latest edition provided by the Rhode Island Secretary of State;
  • Easy to use and ready to print;
  • Quick to customize;
  • Compatible with most PDF-viewing applications;
  • Fill out the form in our online filing application.

Download a fillable version of Form 203 by clicking the link below or browse more documents and templates provided by the Rhode Island Secretary of State.

Download Form 203 Articles of Dissolution - Domestic Non-profit Corporation - Rhode Island

4.5 of 5 (47 votes)
  • Form 203 Articles of Dissolution - Domestic Non-profit Corporation - Rhode Island

    1

  • Form 203 Articles of Dissolution - Domestic Non-profit Corporation - Rhode Island, Page 2

    2

  • Form 203 Articles of Dissolution - Domestic Non-profit Corporation - Rhode Island, Page 3

    3

  • Form 203 Articles of Dissolution - Domestic Non-profit Corporation - Rhode Island, Page 1
  • Form 203 Articles of Dissolution - Domestic Non-profit Corporation - Rhode Island, Page 2
  • Form 203 Articles of Dissolution - Domestic Non-profit Corporation - Rhode Island, Page 3
Prev 1 2 3 Next
ADVERTISEMENT

Related Documents