Form 10214C Technical Information Report Water Rights Permitting - Texas

Form 10214C Technical Information Report Water Rights Permitting - Texas

What Is Form 10214C?

This is a legal form that was released by the Texas Commission on Environmental Quality - a government authority operating within Texas. As of today, no separate filing guidelines for the form are provided by the issuing department.

FAQ

Q: What is Form 10214C?
A: Form 10214C is a Technical Information Report used for Water Rights Permitting in Texas.

Q: What does Form 10214C include?
A: Form 10214C includes technical information related to water rights permitting.

Q: Who uses Form 10214C?
A: Form 10214C is used by individuals or entities applying for water rights permits in Texas.

Q: What is the purpose of water rights permitting?
A: Water rights permitting ensures the proper allocation and management of water resources in Texas.

ADVERTISEMENT

Form Details:

  • Released on July 19, 2017;
  • The latest edition provided by the Texas Commission on Environmental Quality;
  • Easy to use and ready to print;
  • Quick to customize;
  • Compatible with most PDF-viewing applications;
  • Fill out the form in our online filing application.

Download a fillable version of Form 10214C by clicking the link below or browse more documents and templates provided by the Texas Commission on Environmental Quality.

Download Form 10214C Technical Information Report Water Rights Permitting - Texas

4.6 of 5 (28 votes)
  • Form 10214C Technical Information Report Water Rights Permitting - Texas

    1

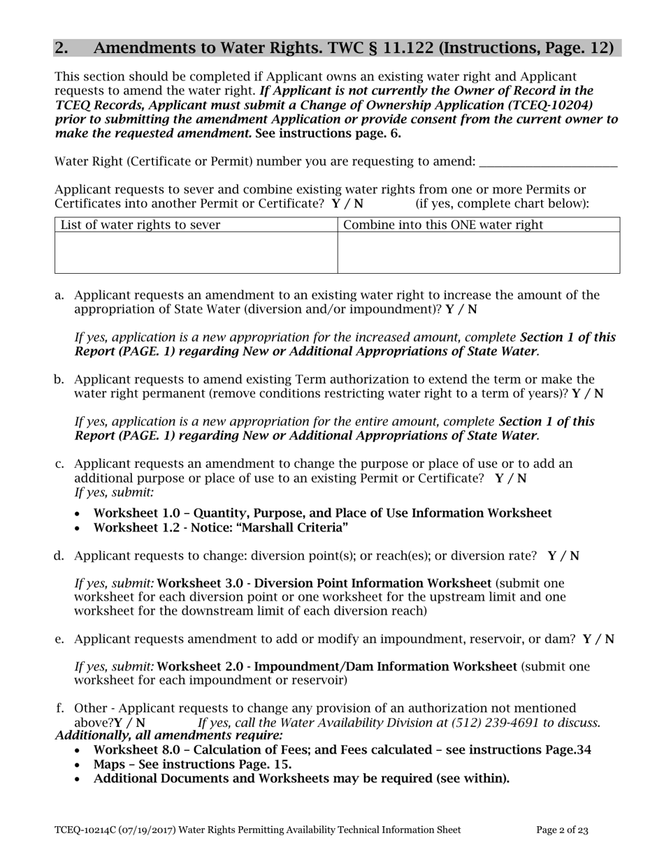
  • Form 10214C Technical Information Report Water Rights Permitting - Texas, Page 2

    2

  • Form 10214C Technical Information Report Water Rights Permitting - Texas, Page 3

    3

  • Form 10214C Technical Information Report Water Rights Permitting - Texas, Page 4

    4

  • Form 10214C Technical Information Report Water Rights Permitting - Texas, Page 5

    5

  • Form 10214C Technical Information Report Water Rights Permitting - Texas, Page 6

    6

  • Form 10214C Technical Information Report Water Rights Permitting - Texas, Page 7

    7

  • Form 10214C Technical Information Report Water Rights Permitting - Texas, Page 8

    8

  • Form 10214C Technical Information Report Water Rights Permitting - Texas, Page 9

    9

  • Form 10214C Technical Information Report Water Rights Permitting - Texas, Page 10

    10

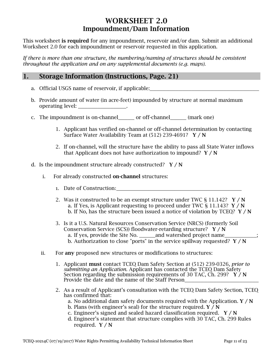
  • Form 10214C Technical Information Report Water Rights Permitting - Texas, Page 11

    11

  • Form 10214C Technical Information Report Water Rights Permitting - Texas, Page 12

    12

  • Form 10214C Technical Information Report Water Rights Permitting - Texas, Page 13

    13

  • Form 10214C Technical Information Report Water Rights Permitting - Texas, Page 14

    14

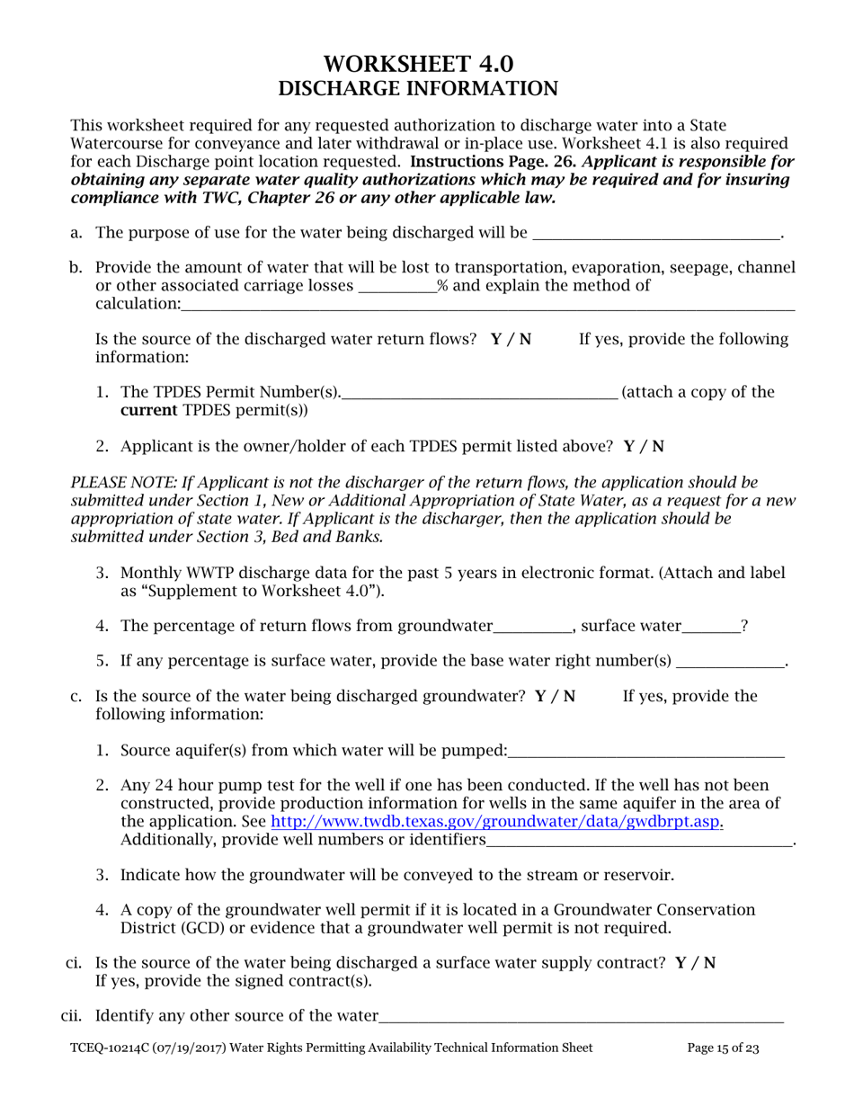
  • Form 10214C Technical Information Report Water Rights Permitting - Texas, Page 15

    15

  • Form 10214C Technical Information Report Water Rights Permitting - Texas, Page 16

    16

  • Form 10214C Technical Information Report Water Rights Permitting - Texas, Page 17

    17

  • Form 10214C Technical Information Report Water Rights Permitting - Texas, Page 18

    18

  • Form 10214C Technical Information Report Water Rights Permitting - Texas, Page 19

    19

  • Form 10214C Technical Information Report Water Rights Permitting - Texas, Page 20

    20

  • Form 10214C Technical Information Report Water Rights Permitting - Texas, Page 21

    21

  • Form 10214C Technical Information Report Water Rights Permitting - Texas, Page 22

    22

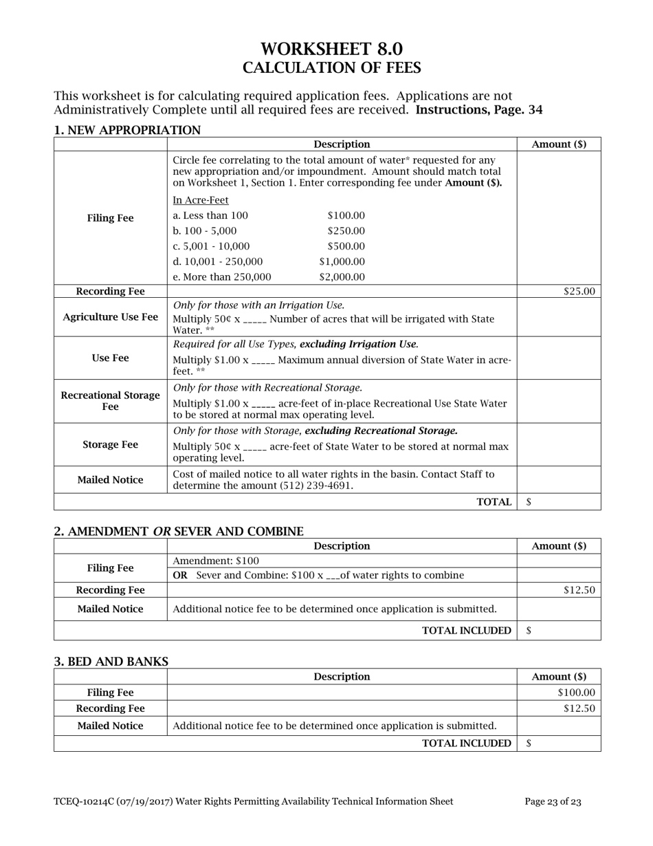
  • Form 10214C Technical Information Report Water Rights Permitting - Texas, Page 23

    23

  • Form 10214C Technical Information Report Water Rights Permitting - Texas, Page 1
  • Form 10214C Technical Information Report Water Rights Permitting - Texas, Page 2
  • Form 10214C Technical Information Report Water Rights Permitting - Texas, Page 3
  • Form 10214C Technical Information Report Water Rights Permitting - Texas, Page 4
  • Form 10214C Technical Information Report Water Rights Permitting - Texas, Page 5
  • Form 10214C Technical Information Report Water Rights Permitting - Texas, Page 6
  • Form 10214C Technical Information Report Water Rights Permitting - Texas, Page 7
  • Form 10214C Technical Information Report Water Rights Permitting - Texas, Page 8
  • Form 10214C Technical Information Report Water Rights Permitting - Texas, Page 9
  • Form 10214C Technical Information Report Water Rights Permitting - Texas, Page 10
  • Form 10214C Technical Information Report Water Rights Permitting - Texas, Page 11
  • Form 10214C Technical Information Report Water Rights Permitting - Texas, Page 12
  • Form 10214C Technical Information Report Water Rights Permitting - Texas, Page 13
  • Form 10214C Technical Information Report Water Rights Permitting - Texas, Page 14
  • Form 10214C Technical Information Report Water Rights Permitting - Texas, Page 15
  • Form 10214C Technical Information Report Water Rights Permitting - Texas, Page 16
  • Form 10214C Technical Information Report Water Rights Permitting - Texas, Page 17
  • Form 10214C Technical Information Report Water Rights Permitting - Texas, Page 18
  • Form 10214C Technical Information Report Water Rights Permitting - Texas, Page 19
  • Form 10214C Technical Information Report Water Rights Permitting - Texas, Page 20
  • Form 10214C Technical Information Report Water Rights Permitting - Texas, Page 21
  • Form 10214C Technical Information Report Water Rights Permitting - Texas, Page 22
  • Form 10214C Technical Information Report Water Rights Permitting - Texas, Page 23
Prev 1 2 3 4 5 ... 23 Next
ADVERTISEMENT

Related Documents