Form ECY070-69 Leak Testing Checklist - Washington

Notification Icon This version of the form is not currently in use and is provided for reference only. Download this version of Form ECY070-69 for the current year.

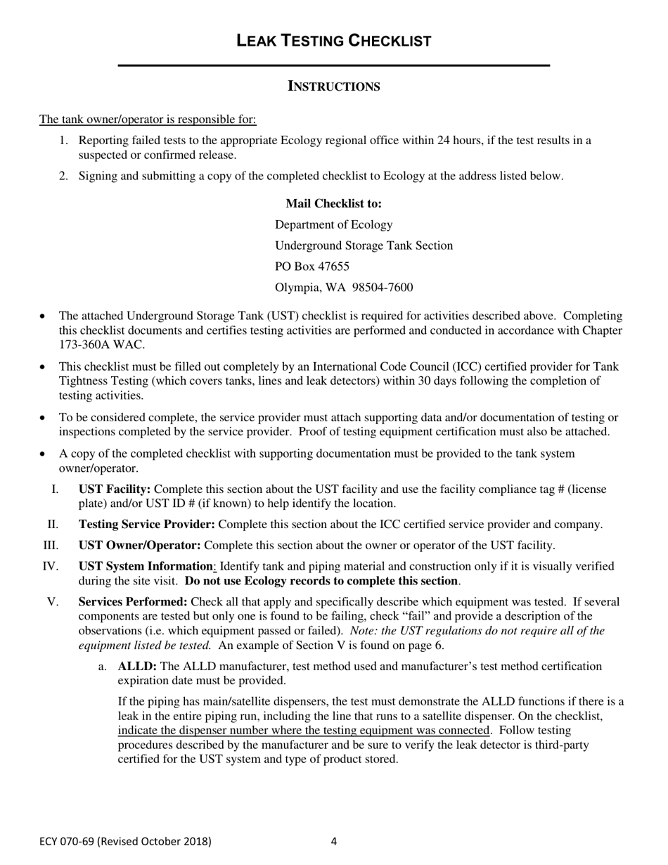
Form ECY070-69 Leak Testing Checklist - Washington

What Is Form ECY070-69?

This is a legal form that was released by the Washington State Department of Ecology - a government authority operating within Washington. As of today, no separate filing guidelines for the form are provided by the issuing department.

FAQ

Q: What is the Form ECY070-69?
A: The Form ECY070-69 is a leak testing checklist specific to Washington state.

Q: What is the purpose of the Form ECY070-69?
A: The purpose of the Form ECY070-69 is to assess and document the results of leak testing for certain equipment.

Q: What equipment does the Form ECY070-69 apply to?
A: The Form ECY070-69 applies to various equipment, such as gasoline storage tanks, pipes, and vapor recovery systems.

Q: Why is leak testing important?
A: Leak testing is important to ensure that equipment is functioning properly and to prevent environmental contamination.

Q: Who is responsible for completing the Form ECY070-69?
A: The owner or operator of the equipment is responsible for completing the Form ECY070-69.

ADVERTISEMENT

Form Details:

  • Released on October 1, 2018;
  • The latest edition provided by the Washington State Department of Ecology;
  • Easy to use and ready to print;
  • Quick to customize;
  • Compatible with most PDF-viewing applications;
  • Fill out the form in our online filing application.

Download a printable version of Form ECY070-69 by clicking the link below or browse more documents and templates provided by the Washington State Department of Ecology.

Download Form ECY070-69 Leak Testing Checklist - Washington

4.6 of 5 (49 votes)
  • Form ECY070-69 Leak Testing Checklist - Washington

    1

  • Form ECY070-69 Leak Testing Checklist - Washington, Page 2

    2

  • Form ECY070-69 Leak Testing Checklist - Washington, Page 3

    3

  • Form ECY070-69 Leak Testing Checklist - Washington, Page 4

    4

  • Form ECY070-69 Leak Testing Checklist - Washington, Page 5

    5

  • Form ECY070-69 Leak Testing Checklist - Washington, Page 6

    6

  • Form ECY070-69 Leak Testing Checklist - Washington, Page 1
  • Form ECY070-69 Leak Testing Checklist - Washington, Page 2
  • Form ECY070-69 Leak Testing Checklist - Washington, Page 3
  • Form ECY070-69 Leak Testing Checklist - Washington, Page 4
  • Form ECY070-69 Leak Testing Checklist - Washington, Page 5
  • Form ECY070-69 Leak Testing Checklist - Washington, Page 6
Prev 1 2 3 4 5 6 Next
ADVERTISEMENT

Related Documents