Agency Protocol Application - Oklahoma

Notification Icon This version of the form is not currently in use and is provided for reference only. Download this version of the document for the current year.

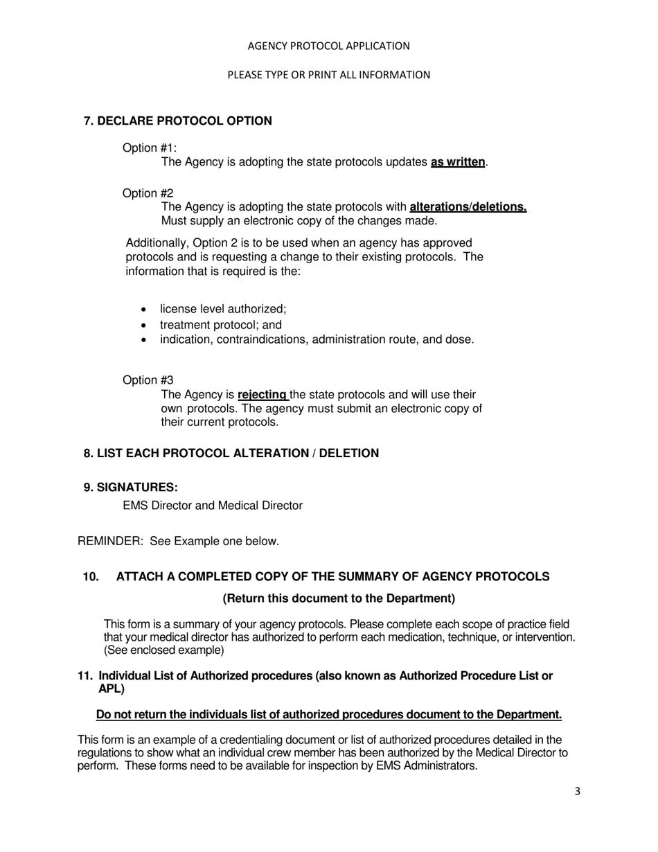
Agency Protocol Application - Oklahoma

Agency Protocol Application is a legal document that was released by the Oklahoma State Department of Health - a government authority operating within Oklahoma.

FAQ

Q: What is an Agency Protocol Application?
A: An Agency Protocol Application is a formal request made to a government agency in Oklahoma for a specific purpose or action.

Q: How do I submit an Agency Protocol Application in Oklahoma?
A: The process for submitting an Agency Protocol Application in Oklahoma varies depending on the agency. You will need to contact the specific agency you are applying to for their application guidelines and submission requirements.

Q: What can I use an Agency Protocol Application for in Oklahoma?
A: An Agency Protocol Application can be used for a variety of purposes in Oklahoma, such as requesting permits, licenses, or approvals from government agencies.

Q: Are there any fees associated with submitting an Agency Protocol Application in Oklahoma?
A: Yes, there may be fees associated with submitting an Agency Protocol Application in Oklahoma. The fees will vary depending on the specific application and agency you are applying to.

Q: How long does it usually take for an Agency Protocol Application to be processed in Oklahoma?
A: The processing time for an Agency Protocol Application in Oklahoma can vary depending on the agency and the complexity of the application. It is best to contact the specific agency for an estimated processing time.

ADVERTISEMENT

Form Details:

  • Released on June 20, 2018;
  • The latest edition currently provided by the Oklahoma State Department of Health;
  • Ready to use and print;
  • Easy to customize;
  • Compatible with most PDF-viewing applications;
  • Fill out the form in our online filing application.

Download a fillable version of the form by clicking the link below or browse more documents and templates provided by the Oklahoma State Department of Health.

Download Agency Protocol Application - Oklahoma

4.7 of 5 (7 votes)
  • Agency Protocol Application - Oklahoma

    1

  • Agency Protocol Application - Oklahoma, Page 2

    2

  • Agency Protocol Application - Oklahoma, Page 3

    3

  • Agency Protocol Application - Oklahoma, Page 4

    4

  • Agency Protocol Application - Oklahoma, Page 5

    5

  • Agency Protocol Application - Oklahoma, Page 6

    6

  • Agency Protocol Application - Oklahoma, Page 7

    7

  • Agency Protocol Application - Oklahoma, Page 8

    8

  • Agency Protocol Application - Oklahoma, Page 9

    9

  • Agency Protocol Application - Oklahoma, Page 10

    10

  • Agency Protocol Application - Oklahoma, Page 1
  • Agency Protocol Application - Oklahoma, Page 2
  • Agency Protocol Application - Oklahoma, Page 3
  • Agency Protocol Application - Oklahoma, Page 4
  • Agency Protocol Application - Oklahoma, Page 5
  • Agency Protocol Application - Oklahoma, Page 6
  • Agency Protocol Application - Oklahoma, Page 7
  • Agency Protocol Application - Oklahoma, Page 8
  • Agency Protocol Application - Oklahoma, Page 9
  • Agency Protocol Application - Oklahoma, Page 10
Prev 1 2 3 4 5 ... 10 Next
ADVERTISEMENT